Rh1S2
MatHub2d-995-Rh1S2
| Property |
Value |
| Space group |
(164, 'P-3m1') |
| Crystal system |
hexagonal |
| Magnetic |
Yes |
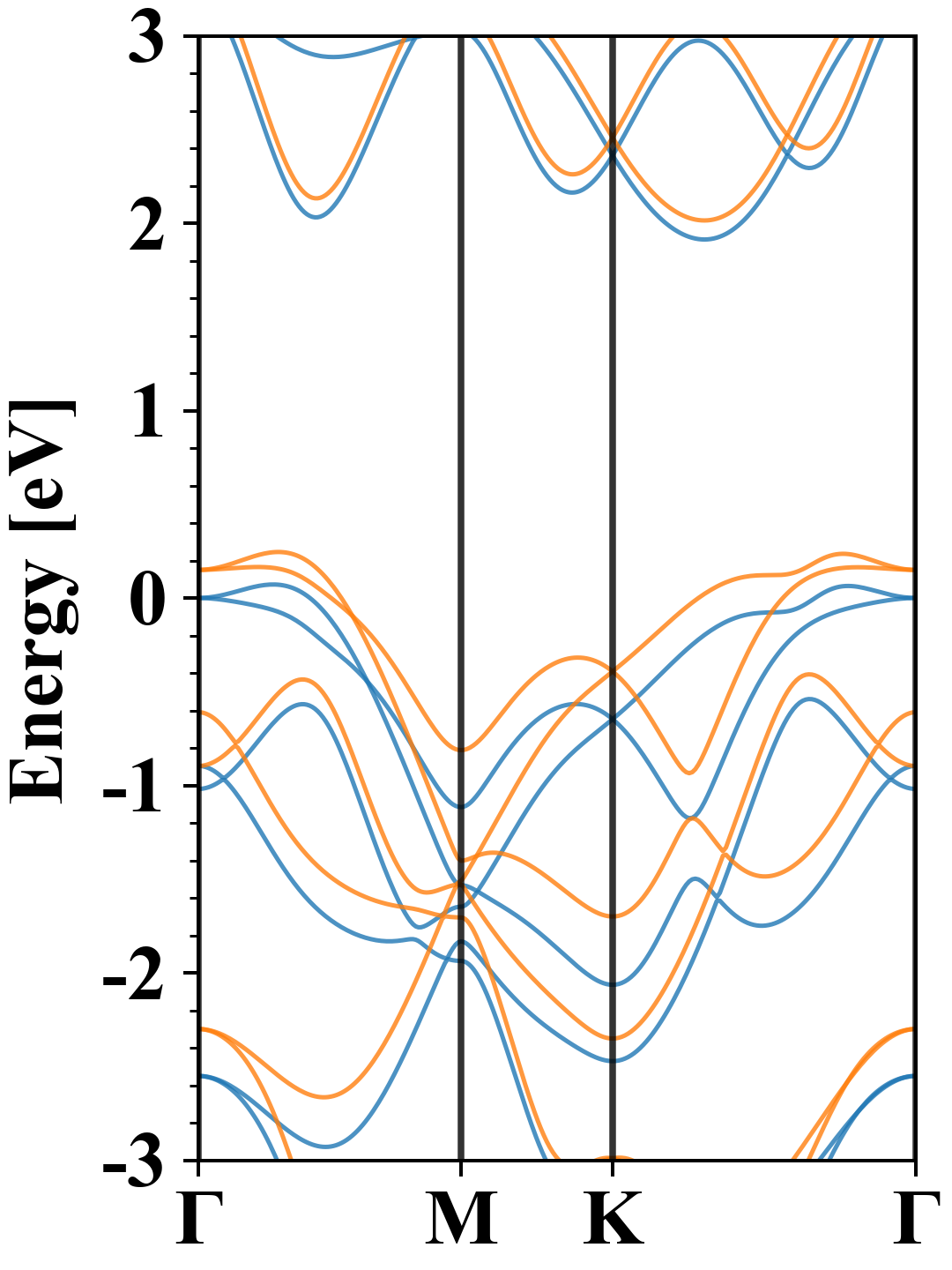
| Band gap (PBE) (eV) |
0.00 |
| Free energy (eV) |
-13.199 |
| Free energy / atom (eV) |
-4.400 |
Lattice Parameters (basic)
| a, b, c (Å): | 3.512 | 3.512 | 30.000 |
| α, β, γ (°): | 90.000 | 90.000 | 120.000 |
Lattice Parameters (computed)
| a, b, c (Å): | 3.412 | 3.412 | 30.000 |
| α, β, γ (°): | 90.000 | 90.000 | 120.000 |
| Property |
Value |
| Band gap |
0.00 eV |
| E-fermi |
-4.048 eV |
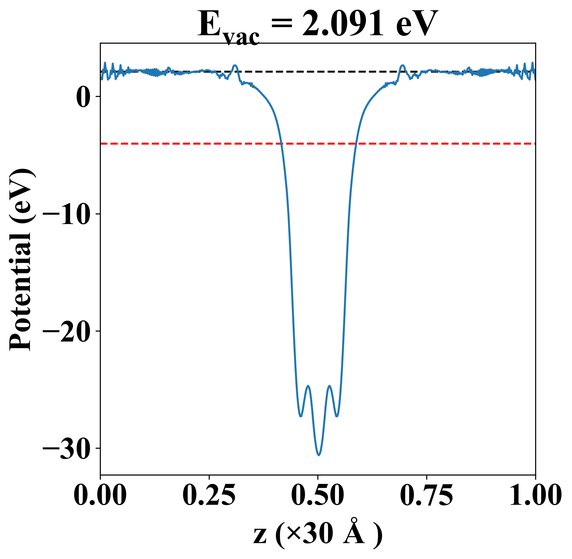
| Vacuum level |
2.091 eV |
| VBM |
-4.048 eV |
| CBM |
-4.048 eV |
| Work function |
6.139 eV |
| Direct gap |
No |
| Property |
Value |
| Band gap |
0.00 eV |
| E-fermi |
-4.048 eV |
| Vacuum level |
2.091 eV |
| VBM |
-4.048 eV |
| CBM |
-4.048 eV |
| Work function |
6.139 eV |
| Cij (N/m) |
xx |
yy |
xy |
| xx |
40.843 |
29.829 |
0.000 |
| yy |
29.829 |
40.843 |
-0.000 |
| xy |
0.000 |
-0.000 |
5.507 |
| Phonon mode at Γ point (THz) |
| -0.007 |
| -0.007 |
| -0.003 |
| 4.599 |
| 5.942 |
| 5.942 |
| 6.884 |
| 6.884 |
| 9.006 |
| Property |
Value |
| from where |
c2db-598 |