Re2Te2
MatHub2d-994-Re2Te2
| Property |
Value |
| Space group |
(187, 'P-6m2') |
| Crystal system |
hexagonal |
| Magnetic |
|
| Band gap (PBE) (eV) |
0.01 |
| Free energy (eV) |
-22.325 |
| Free energy / atom (eV) |
-5.581 |
Lattice Parameters (basic)
| a, b, c (Å): | 3.143 | 3.143 | 30.000 |
| α, β, γ (°): | 90.000 | 90.000 | 120.000 |
Lattice Parameters (computed)
| a, b, c (Å): | 3.159 | 3.159 | 30.000 |
| α, β, γ (°): | 90.000 | 90.000 | 120.000 |
| Property |
Value |
| Band gap |
0.01 eV |
| E-fermi |
0.208 eV |
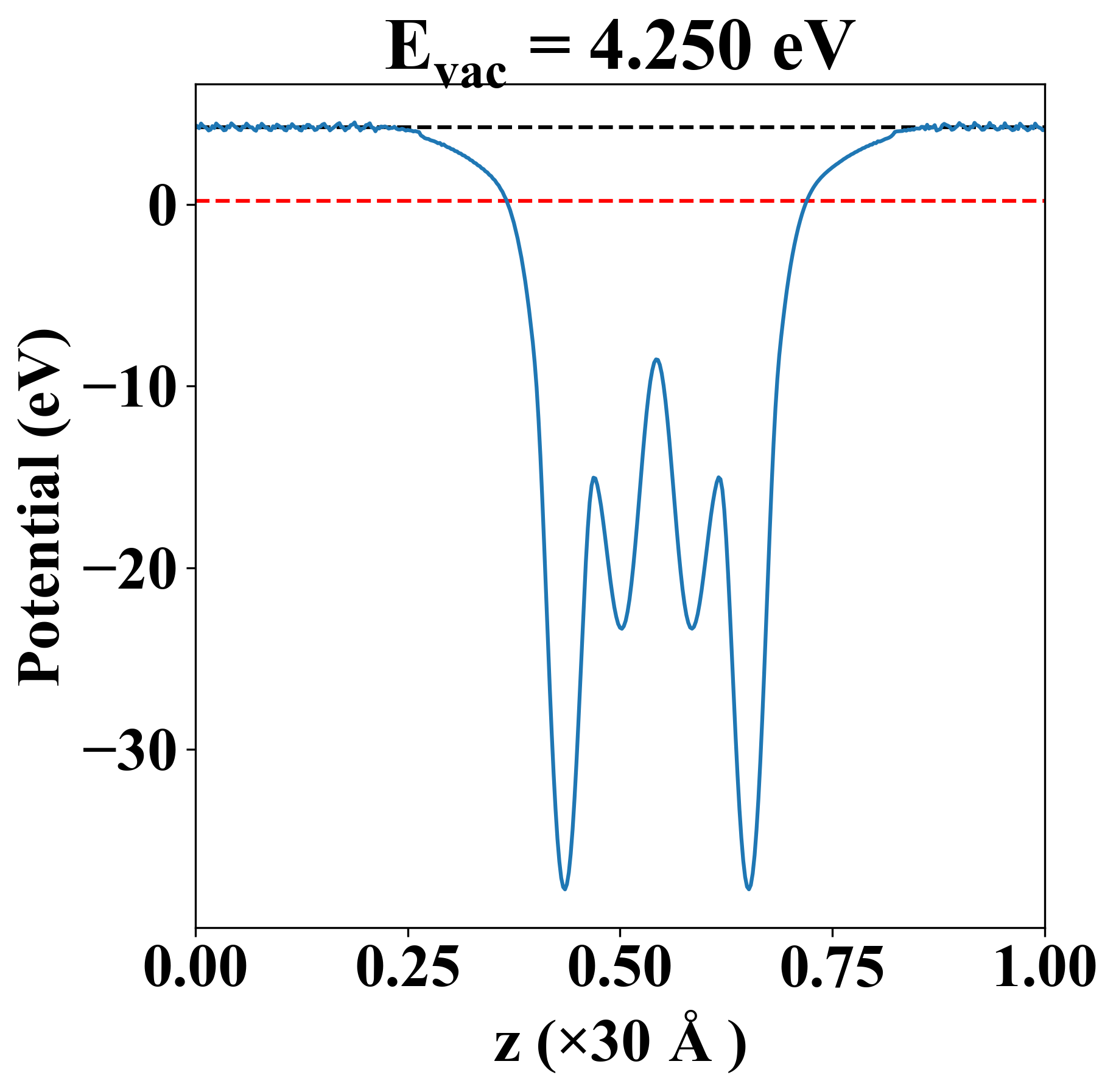
| Vacuum level |
4.250 eV |
| VBM |
0.202 eV |
| CBM |
0.208 eV |
| Work function |
4.043 eV |
| Direct gap |
No |
| Property |
Value |
| Band gap |
0.01 eV |
| E-fermi |
0.208 eV |
| Vacuum level |
4.250 eV |
| VBM |
0.202 eV |
| CBM |
0.208 eV |
| Work function |
4.043 eV |
| Cij (N/m) |
xx |
yy |
xy |
| xx |
193.554 |
28.440 |
0.000 |
| yy |
28.440 |
193.554 |
0.000 |
| xy |
0.000 |
0.000 |
82.557 |
| Phonon mode at Γ point (THz) |
| -1.268 |
| -1.268 |
| 0.001 |
| 0.001 |
| 0.002 |
| 3.894 |
| 3.894 |
| 3.941 |
| 4.213 |
| 4.213 |
| 5.203 |
| 5.627 |
| Property |
Value |
| from where |
c2db-1681 |