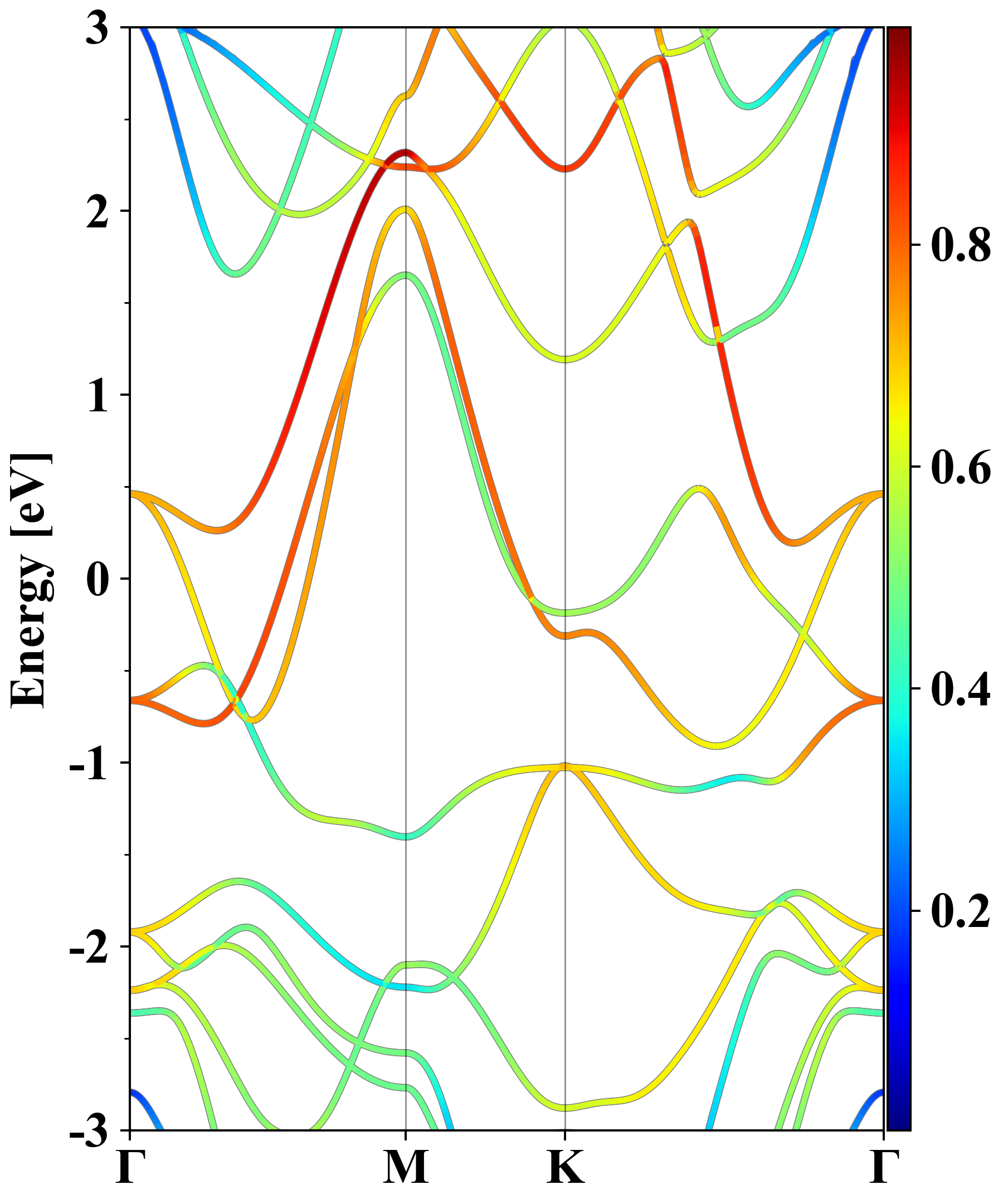
Re2Se2
MatHub2d-993-Re2Se2
| Property |
Value |
| Space group |
(187, 'P-6m2') |
| Crystal system |
hexagonal |
| Magnetic |
|
| Band gap (PBE) (eV) |
0.00 |
| Free energy (eV) |
-24.762 |
| Free energy / atom (eV) |
-6.191 |
Lattice Parameters (basic)
| a, b, c (Å): | 3.004 | 3.004 | 30.000 |
| α, β, γ (°): | 90.000 | 90.000 | 120.000 |
Lattice Parameters (computed)
| a, b, c (Å): | 3.019 | 3.019 | 30.000 |
| α, β, γ (°): | 90.000 | 90.000 | 120.000 |
| Property |
Value |
| Band gap |
0.00 eV |
| E-fermi |
-1.038 eV |
| Vacuum level |
3.336 eV |
| VBM |
-1.039 eV |
| CBM |
-1.035 eV |
| Work function |
4.374 eV |
| Direct gap |
No |
| Property |
Value |
| Band gap |
0.00 eV |
| E-fermi |
-1.038 eV |
| Vacuum level |
3.336 eV |
| VBM |
-1.039 eV |
| CBM |
-1.035 eV |
| Work function |
4.374 eV |
| Cij (N/m) |
xx |
yy |
xy |
| xx |
192.063 |
35.050 |
-0.000 |
| yy |
35.050 |
192.063 |
0.000 |
| xy |
-0.000 |
0.000 |
78.507 |
| Phonon mode at Γ point (THz) |
| -1.494 |
| -1.494 |
| -0.002 |
| -0.002 |
| -0.002 |
| 3.771 |
| 5.520 |
| 5.520 |
| 5.871 |
| 5.871 |
| 6.847 |
| 7.494 |
| Property |
Value |
| from where |
c2db-1680 |