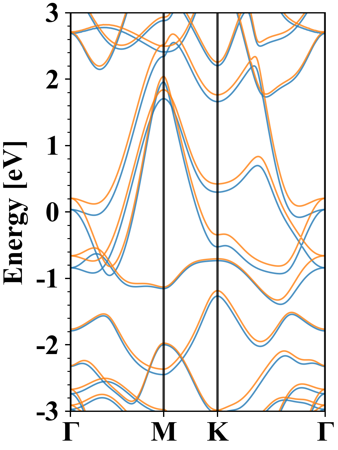
Re2S2
MatHub2d-992-Re2S2
| Property |
Value |
| Space group |
(187, 'P-6m2') |
| Crystal system |
hexagonal |
| Magnetic |
Yes |
| Band gap (PBE) (eV) |
0.00 |
| Free energy (eV) |
-27.086 |
| Free energy / atom (eV) |
-6.771 |
Lattice Parameters (basic)
| a, b, c (Å): | 2.955 | 2.955 | 30.000 |
| α, β, γ (°): | 90.000 | 90.000 | 120.000 |
Lattice Parameters (computed)
| a, b, c (Å): | 2.964 | 2.964 | 30.000 |
| α, β, γ (°): | 90.000 | 90.000 | 120.000 |
| Property |
Value |
| Band gap |
0.00 eV |
| E-fermi |
-1.534 eV |
| Vacuum level |
3.284 eV |
| VBM |
-1.534 eV |
| CBM |
-1.533 eV |
| Work function |
4.817 eV |
| Direct gap |
No |
| Property |
Value |
| Band gap |
0.00 eV |
| E-fermi |
-1.534 eV |
| Vacuum level |
3.284 eV |
| VBM |
-1.534 eV |
| CBM |
-1.533 eV |
| Work function |
4.817 eV |
| Cij (N/m) |
xx |
yy |
xy |
| xx |
212.826 |
98.909 |
-0.000 |
| yy |
98.909 |
212.826 |
-0.000 |
| xy |
-0.000 |
-0.000 |
56.959 |
| Phonon mode at Γ point (THz) |
| -1.985 |
| -1.985 |
| -0.003 |
| -0.003 |
| -0.002 |
| 4.528 |
| 8.824 |
| 8.824 |
| 9.459 |
| 9.459 |
| 12.446 |
| 12.622 |
| Property |
Value |
| from where |
c2db-1679 |