Re1Te2
MatHub2d-991-Re1Te2
| Property |
Value |
| Space group |
(187, 'P-6m2') |
| Crystal system |
hexagonal |
| Magnetic |
Yes |
| Band gap (PBE) (eV) |
0.00 |
| Free energy (eV) |
-15.289 |
| Free energy / atom (eV) |
-5.096 |
Lattice Parameters (basic)
| a, b, c (Å): | 3.701 | 3.701 | 30.000 |
| α, β, γ (°): | 90.000 | 90.000 | 120.000 |
Lattice Parameters (computed)
| a, b, c (Å): | 3.655 | 3.655 | 30.000 |
| α, β, γ (°): | 90.000 | 90.000 | 120.000 |
| Property |
Value |
| Band gap |
0.00 eV |
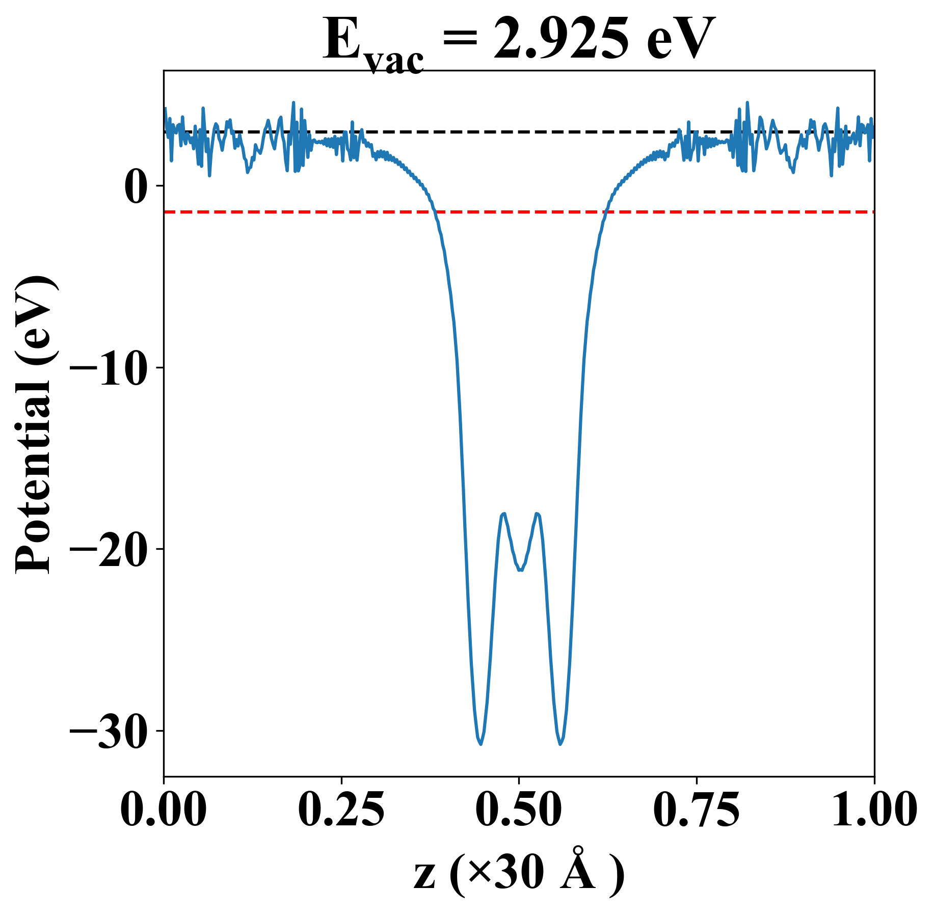
| E-fermi |
-1.460 eV |
| Vacuum level |
2.925 eV |
| VBM |
-1.460 eV |
| CBM |
-1.456 eV |
| Work function |
4.385 eV |
| Direct gap |
No |
| Property |
Value |
| Band gap |
0.00 eV |
| E-fermi |
-1.460 eV |
| Vacuum level |
2.925 eV |
| VBM |
-1.460 eV |
| CBM |
-1.456 eV |
| Work function |
4.385 eV |
| Cij (N/m) |
xx |
yy |
xy |
| xx |
26.725 |
33.421 |
0.000 |
| yy |
33.421 |
26.725 |
-0.000 |
| xy |
0.000 |
-0.000 |
-3.348 |
| Phonon mode at Γ point (THz) |
| -0.002 |
| -0.001 |
| -0.001 |
| 3.401 |
| 3.401 |
| 4.586 |
| 5.299 |
| 5.299 |
| 6.024 |
| Property |
Value |
| from where |
c2db-595 |