Re1Te2
MatHub2d-990-Re1Te2
| Property |
Value |
| Space group |
(164, 'P-3m1') |
| Crystal system |
hexagonal |
| Magnetic |
Yes |
| Band gap (PBE) (eV) |
0.00 |
| Free energy (eV) |
-15.301 |
| Free energy / atom (eV) |
-5.100 |
Lattice Parameters (basic)
| a, b, c (Å): | 3.395 | 3.395 | 30.000 |
| α, β, γ (°): | 90.000 | 90.000 | 120.000 |
Lattice Parameters (computed)
| a, b, c (Å): | 3.916 | 3.916 | 30.000 |
| α, β, γ (°): | 90.000 | 90.000 | 120.000 |
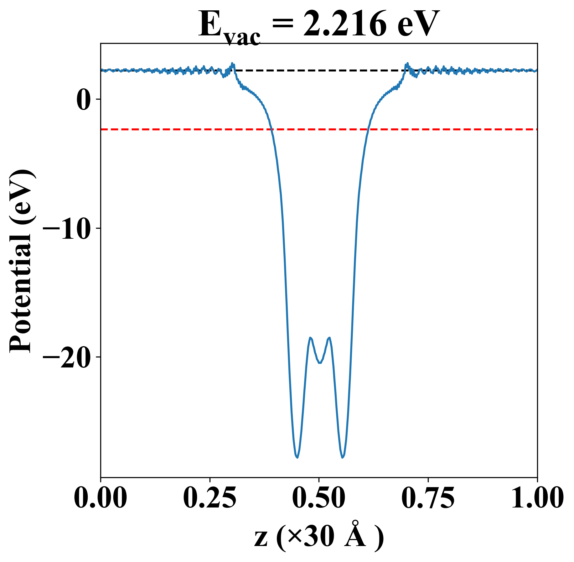
| Property |
Value |
| Band gap |
0.00 eV |
| E-fermi |
-2.349 eV |
| Vacuum level |
2.216 eV |
| VBM |
-2.354 eV |
| CBM |
-2.347 eV |
| Work function |
4.564 eV |
| Direct gap |
No |
| Property |
Value |
| Band gap |
0.00 eV |
| E-fermi |
-2.349 eV |
| Vacuum level |
2.216 eV |
| VBM |
-2.354 eV |
| CBM |
-2.347 eV |
| Work function |
4.564 eV |
| Cij (N/m) |
xx |
yy |
xy |
| xx |
25.148 |
28.331 |
-0.000 |
| yy |
28.331 |
25.148 |
0.000 |
| xy |
-0.000 |
0.000 |
-1.591 |
| Phonon mode at Γ point (THz) |
| -0.003 |
| -0.003 |
| -0.001 |
| 2.192 |
| 2.192 |
| 2.984 |
| 2.984 |
| 3.959 |
| 4.392 |
| Property |
Value |
| from where |
c2db-594 |