Re1Se2

MatHub2d-989-Re1Se2

Property Value
Space group (187, 'P-6m2')
Crystal system hexagonal
Magnetic Yes
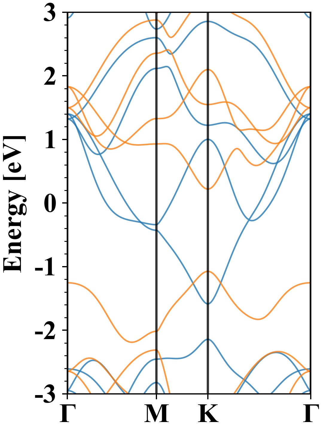
Band gap (PBE) (eV) 0.00
Free energy (eV) -16.868
Free energy / atom (eV) -5.623

Lattice Parameters (basic)

a, b, c (Å): 3.456 3.456 30.000
α, β, γ (°): 90.000 90.000 120.000

Lattice Parameters (computed)

a, b, c (Å): 3.358 3.358 30.000
α, β, γ (°): 90.000 90.000 120.000
Re1Se2
Property Value
Band gap 0.00 eV
E-fermi -1.969 eV
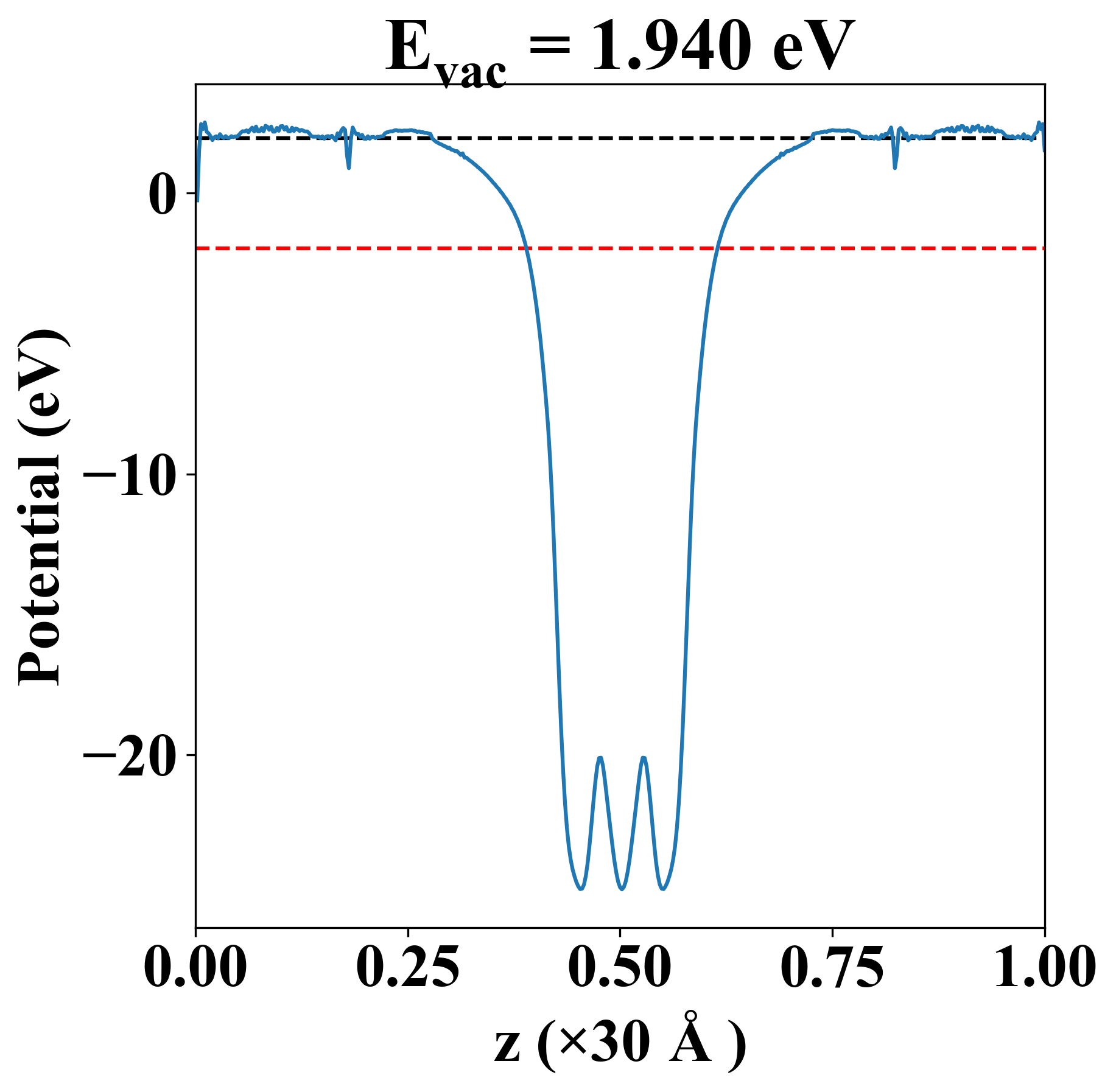
Vacuum level 1.940 eV
VBM -1.976 eV
CBM -1.965 eV
Work function 3.908 eV
Direct gap No
Re1Se2
Property Value
Band gap 0.00 eV
E-fermi -1.969 eV
Vacuum level 1.940 eV
VBM -1.976 eV
CBM -1.965 eV
Work function 3.908 eV
Cij (N/m) xx yy xy
xx -37.244 -25.041 -0.000
yy -25.041 -37.244 0.000
xy -0.000 0.000 -6.101
Phonon mode at Γ point (THz)
-0.002
0.001
0.001
4.617
4.617
5.523
5.954
6.406
6.406

Property Value
from where c2db-593