Re1Se2
MatHub2d-988-Re1Se2
| Property |
Value |
| Space group |
(164, 'P-3m1') |
| Crystal system |
hexagonal |
| Magnetic |
Yes |
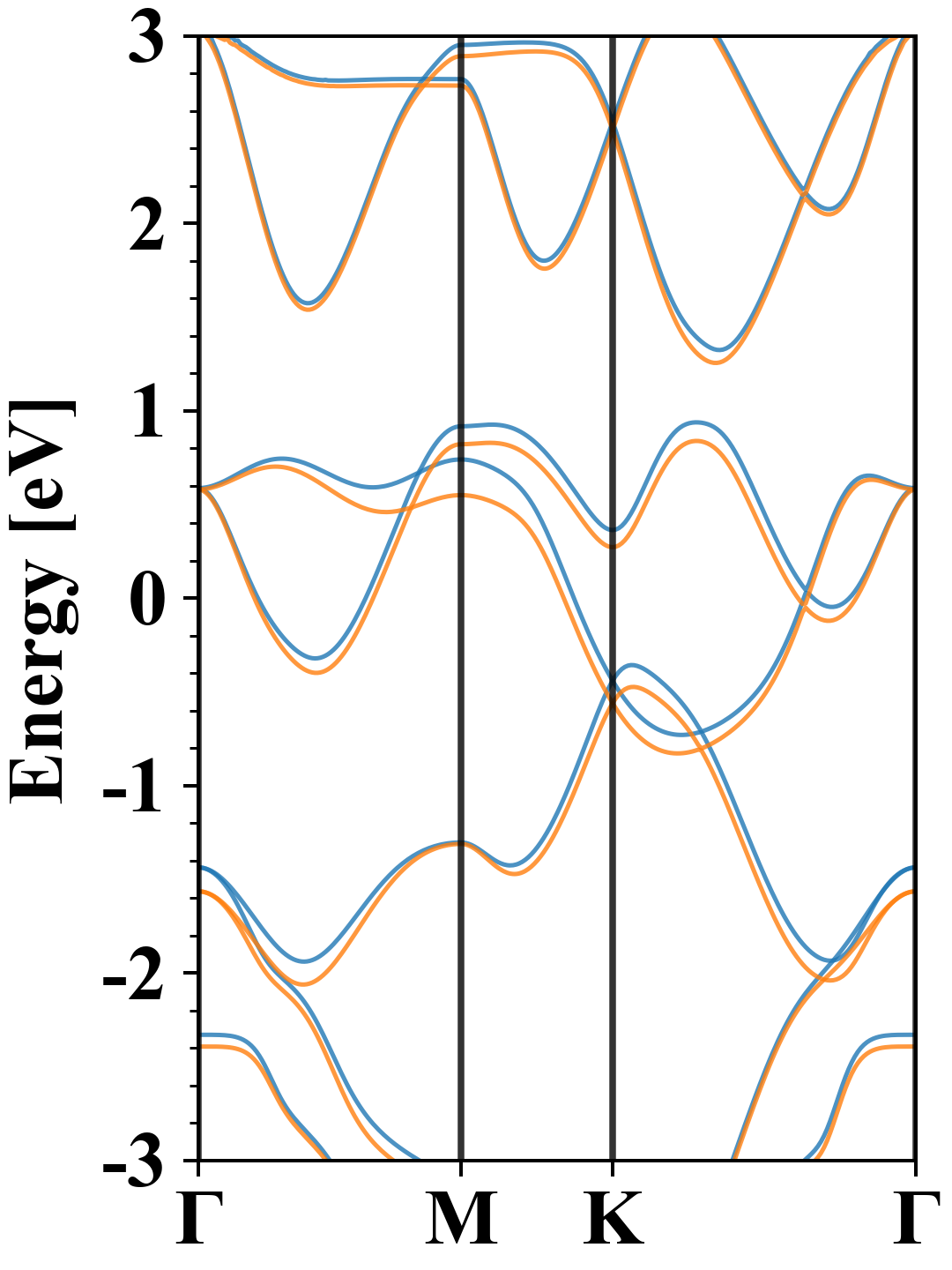
| Band gap (PBE) (eV) |
0.00 |
| Free energy (eV) |
-16.529 |
| Free energy / atom (eV) |
-5.510 |
Lattice Parameters (basic)
| a, b, c (Å): | 3.172 | 3.172 | 30.000 |
| α, β, γ (°): | 90.000 | 90.000 | 120.000 |
Lattice Parameters (computed)
| a, b, c (Å): | 3.194 | 3.194 | 30.000 |
| α, β, γ (°): | 90.000 | 90.000 | 120.000 |
| Property |
Value |
| Band gap |
0.00 eV |
| E-fermi |
-1.984 eV |
| Vacuum level |
2.195 eV |
| VBM |
-1.987 eV |
| CBM |
-1.982 eV |
| Work function |
4.178 eV |
| Direct gap |
No |
| Property |
Value |
| Band gap |
0.00 eV |
| E-fermi |
-1.984 eV |
| Vacuum level |
2.195 eV |
| VBM |
-1.987 eV |
| CBM |
-1.982 eV |
| Work function |
4.178 eV |
| Cij (N/m) |
xx |
yy |
xy |
| xx |
100.206 |
-5.504 |
0.000 |
| yy |
-5.504 |
100.206 |
-0.000 |
| xy |
0.000 |
-0.000 |
52.855 |
| Phonon mode at Γ point (THz) |
| -0.001 |
| -0.001 |
| -0.001 |
| 4.526 |
| 4.526 |
| 4.684 |
| 4.684 |
| 5.565 |
| 6.639 |
| Property |
Value |
| from where |
c2db-592 |