Re1S2
MatHub2d-987-Re1S2
| Property |
Value |
| Space group |
(187, 'P-6m2') |
| Crystal system |
hexagonal |
| Magnetic |
Yes |
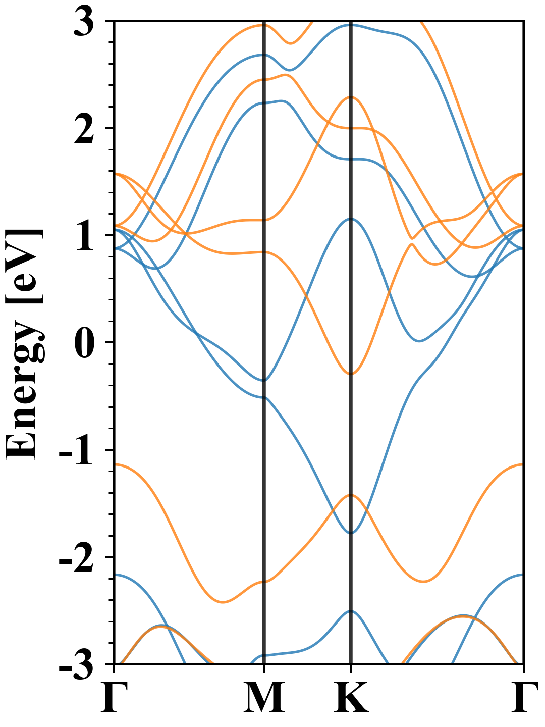
| Band gap (PBE) (eV) |
0.00 |
| Free energy (eV) |
-18.591 |
| Free energy / atom (eV) |
-6.197 |
Lattice Parameters (basic)
| a, b, c (Å): | 3.307 | 3.307 | 30.000 |
| α, β, γ (°): | 90.000 | 90.000 | 120.000 |
Lattice Parameters (computed)
| a, b, c (Å): | 3.285 | 3.285 | 30.000 |
| α, β, γ (°): | 90.000 | 90.000 | 120.000 |
| Property |
Value |
| Band gap |
0.00 eV |
| E-fermi |
-2.228 eV |
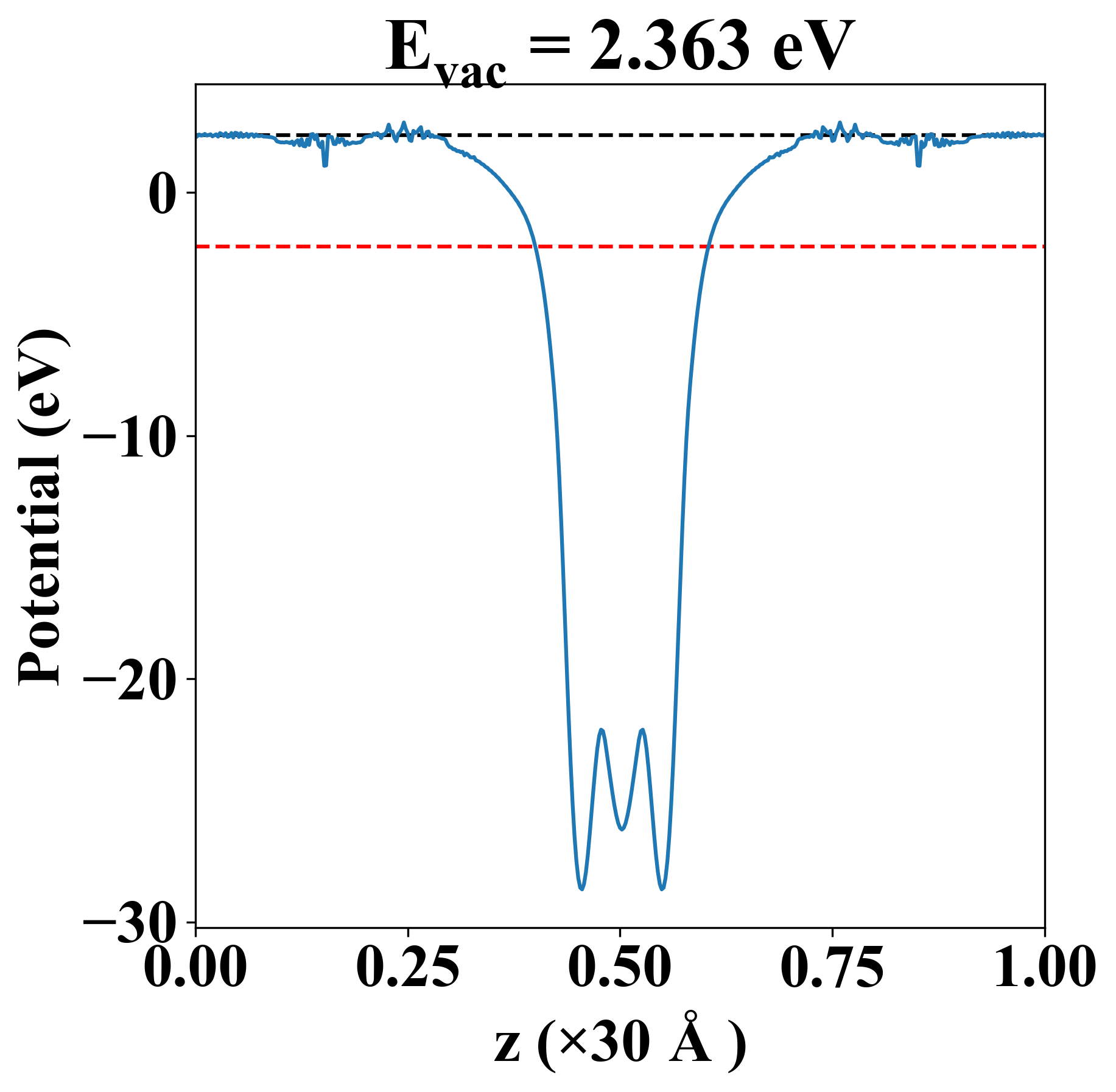
| Vacuum level |
2.363 eV |
| VBM |
-2.233 eV |
| CBM |
-2.228 eV |
| Work function |
4.591 eV |
| Direct gap |
No |
| Property |
Value |
| Band gap |
0.00 eV |
| E-fermi |
-2.228 eV |
| Vacuum level |
2.363 eV |
| VBM |
-2.233 eV |
| CBM |
-2.228 eV |
| Work function |
4.591 eV |
| Cij (N/m) |
xx |
yy |
xy |
| xx |
23.851 |
55.152 |
0.000 |
| yy |
55.152 |
23.851 |
-0.000 |
| xy |
0.000 |
-0.000 |
-15.650 |
| Phonon mode at Γ point (THz) |
| -0.007 |
| -0.002 |
| -0.002 |
| 7.636 |
| 7.636 |
| 9.118 |
| 9.118 |
| 9.850 |
| 10.178 |
| Property |
Value |
| from where |
c2db-591 |