Re1S2
MatHub2d-986-Re1S2
| Property |
Value |
| Space group |
(164, 'P-3m1') |
| Crystal system |
hexagonal |
| Magnetic |
Yes |
| Band gap (PBE) (eV) |
0.00 |
| Free energy (eV) |
-18.415 |
| Free energy / atom (eV) |
-6.138 |
Lattice Parameters (basic)
| a, b, c (Å): | 3.094 | 3.094 | 30.000 |
| α, β, γ (°): | 90.000 | 90.000 | 120.000 |
Lattice Parameters (computed)
| a, b, c (Å): | 3.349 | 3.349 | 30.000 |
| α, β, γ (°): | 90.000 | 90.000 | 120.000 |
| Property |
Value |
| Band gap |
0.00 eV |
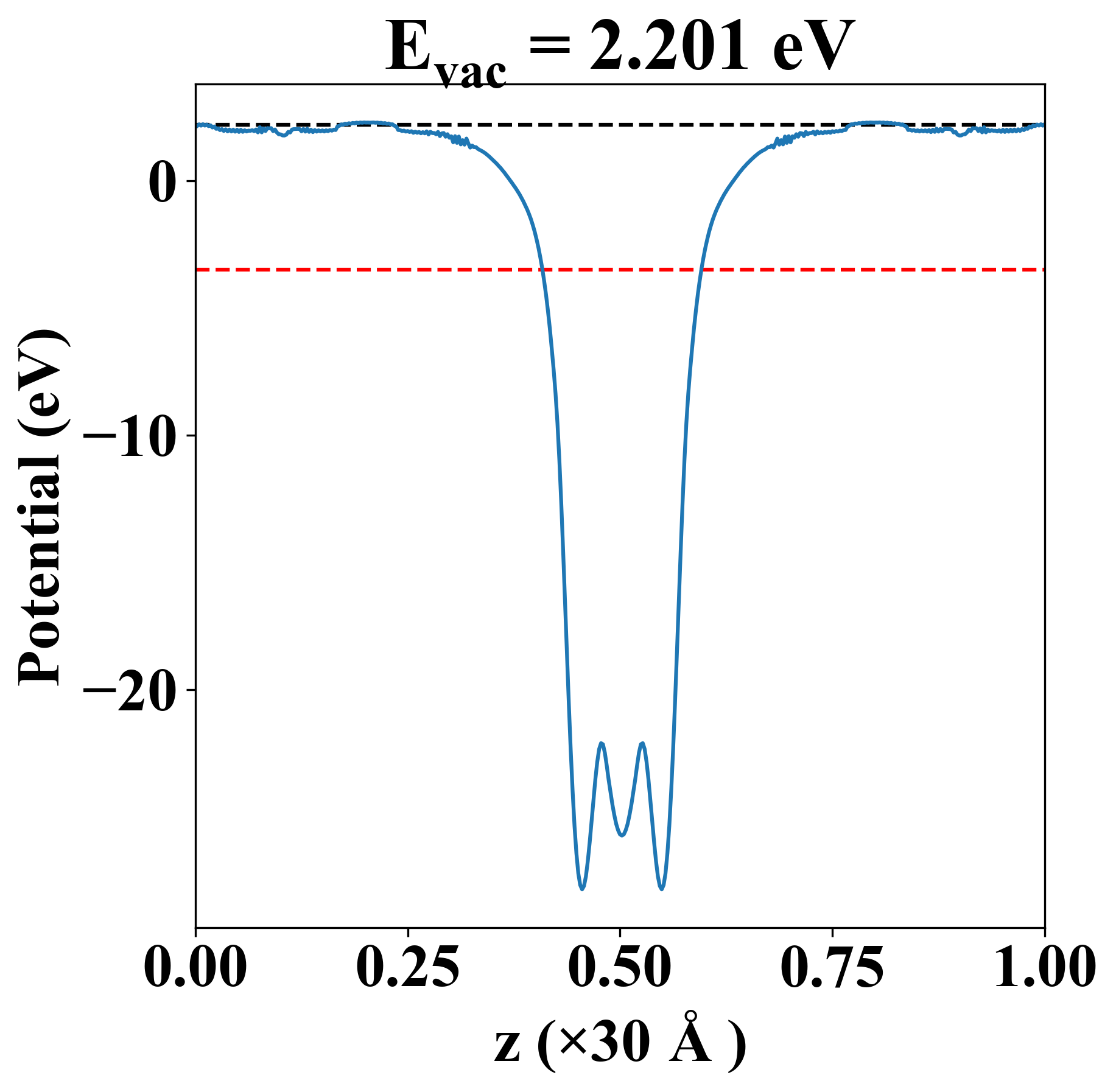
| E-fermi |
-3.486 eV |
| Vacuum level |
2.201 eV |
| VBM |
-3.488 eV |
| CBM |
-3.483 eV |
| Work function |
5.688 eV |
| Direct gap |
No |
| Property |
Value |
| Band gap |
0.00 eV |
| E-fermi |
-3.486 eV |
| Vacuum level |
2.201 eV |
| VBM |
-3.488 eV |
| CBM |
-3.483 eV |
| Work function |
5.688 eV |
| Cij (N/m) |
xx |
yy |
xy |
| xx |
12.056 |
14.771 |
-0.000 |
| yy |
14.771 |
12.056 |
0.000 |
| xy |
-0.000 |
0.000 |
-1.358 |
| Phonon mode at Γ point (THz) |
| -0.002 |
| -0.002 |
| -0.001 |
| 7.415 |
| 7.415 |
| 7.506 |
| 7.506 |
| 9.339 |
| 9.679 |
| Property |
Value |
| from where |
c2db-590 |