Pt2Te2
MatHub2d-983-Pt2Te2
| Property |
Value |
| Space group |
(187, 'P-6m2') |
| Crystal system |
hexagonal |
| Magnetic |
|
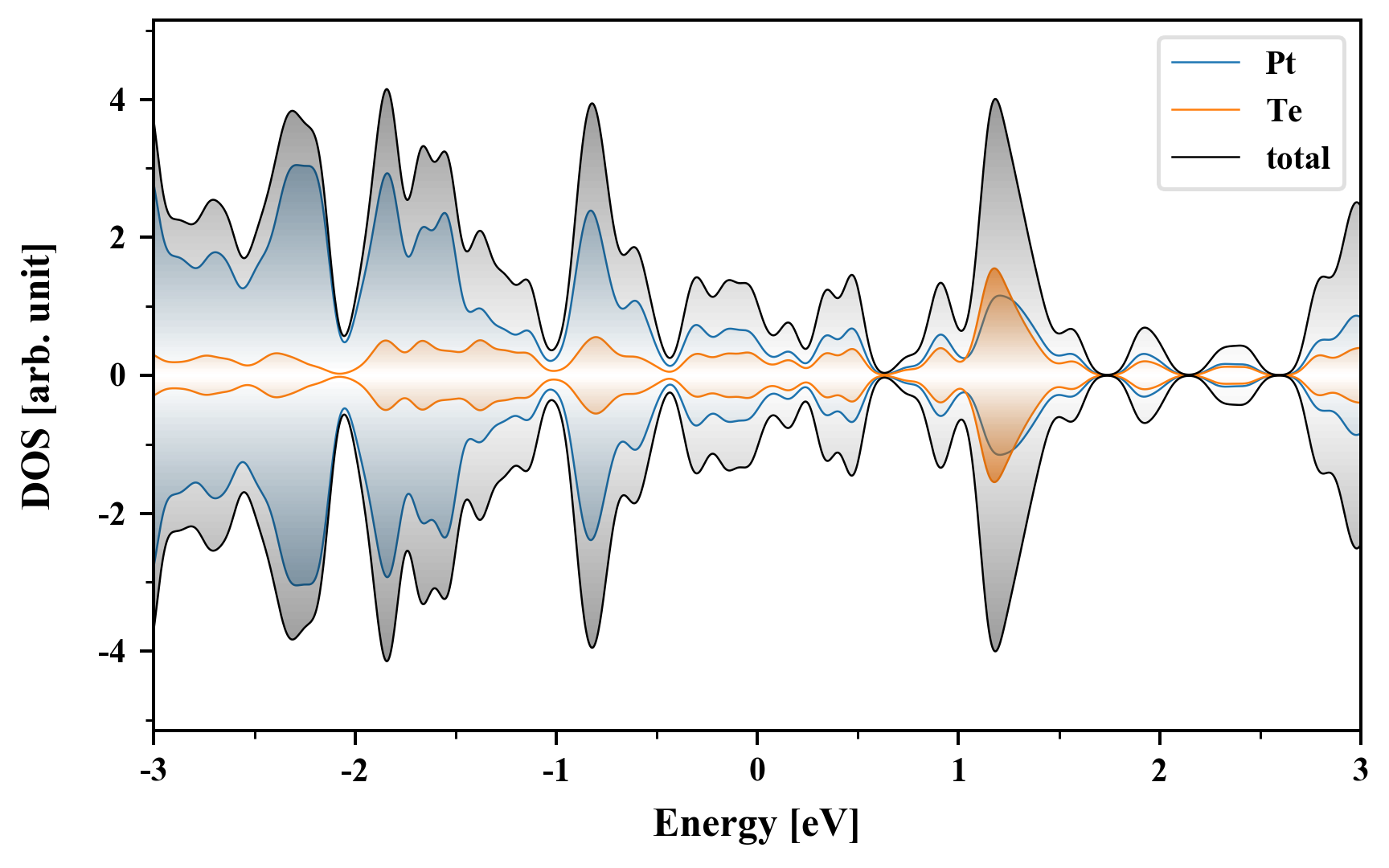
| Band gap (PBE) (eV) |
0.00 |
| Free energy (eV) |
-14.303 |
| Free energy / atom (eV) |
-3.576 |
Lattice Parameters (basic)
| a, b, c (Å): | 4.408 | 4.408 | 30.000 |
| α, β, γ (°): | 90.000 | 90.000 | 120.000 |
Lattice Parameters (computed)
| a, b, c (Å): | 4.411 | 4.411 | 30.000 |
| α, β, γ (°): | 90.000 | 90.000 | 120.000 |
| Property |
Value |
| Band gap |
0.00 eV |
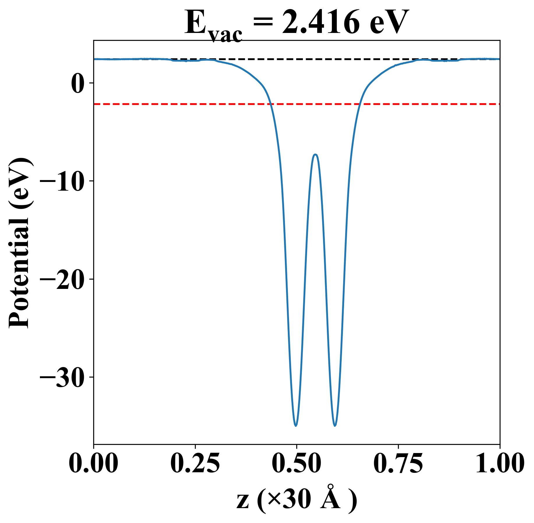
| E-fermi |
-2.171 eV |
| Vacuum level |
2.416 eV |
| VBM |
-2.179 eV |
| CBM |
-2.167 eV |
| Work function |
4.587 eV |
| Direct gap |
No |
| Property |
Value |
| Band gap |
0.00 eV |
| E-fermi |
-2.171 eV |
| Vacuum level |
2.416 eV |
| VBM |
-2.179 eV |
| CBM |
-2.167 eV |
| Work function |
4.587 eV |
| Cij (N/m) |
xx |
yy |
xy |
| xx |
89.393 |
76.767 |
-0.000 |
| yy |
76.767 |
89.393 |
-0.000 |
| xy |
-0.000 |
-0.000 |
6.313 |
| Phonon mode at Γ point (THz) |
| -0.001 |
| -0.001 |
| 0.001 |
| 1.228 |
| 1.228 |
| 2.660 |
| 3.042 |
| 4.764 |
| 5.444 |
| 5.444 |
| 5.695 |
| 5.695 |
| Property |
Value |
| from where |
c2db-1677 |