Pt2Se2
MatHub2d-982-Pt2Se2
| Property |
Value |
| Space group |
(187, 'P-6m2') |
| Crystal system |
hexagonal |
| Magnetic |
|
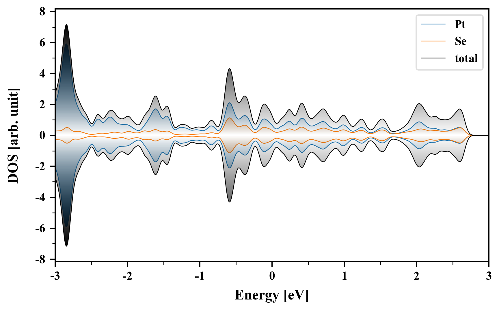
| Band gap (PBE) (eV) |
0.00 |
| Free energy (eV) |
-14.616 |
| Free energy / atom (eV) |
-3.654 |
Lattice Parameters (basic)
| a, b, c (Å): | 3.923 | 3.923 | 30.000 |
| α, β, γ (°): | 90.000 | 90.000 | 120.000 |
Lattice Parameters (computed)
| a, b, c (Å): | 3.884 | 3.884 | 30.000 |
| α, β, γ (°): | 90.000 | 90.000 | 120.000 |
| Property |
Value |
| Band gap |
0.00 eV |
| E-fermi |
-2.505 eV |
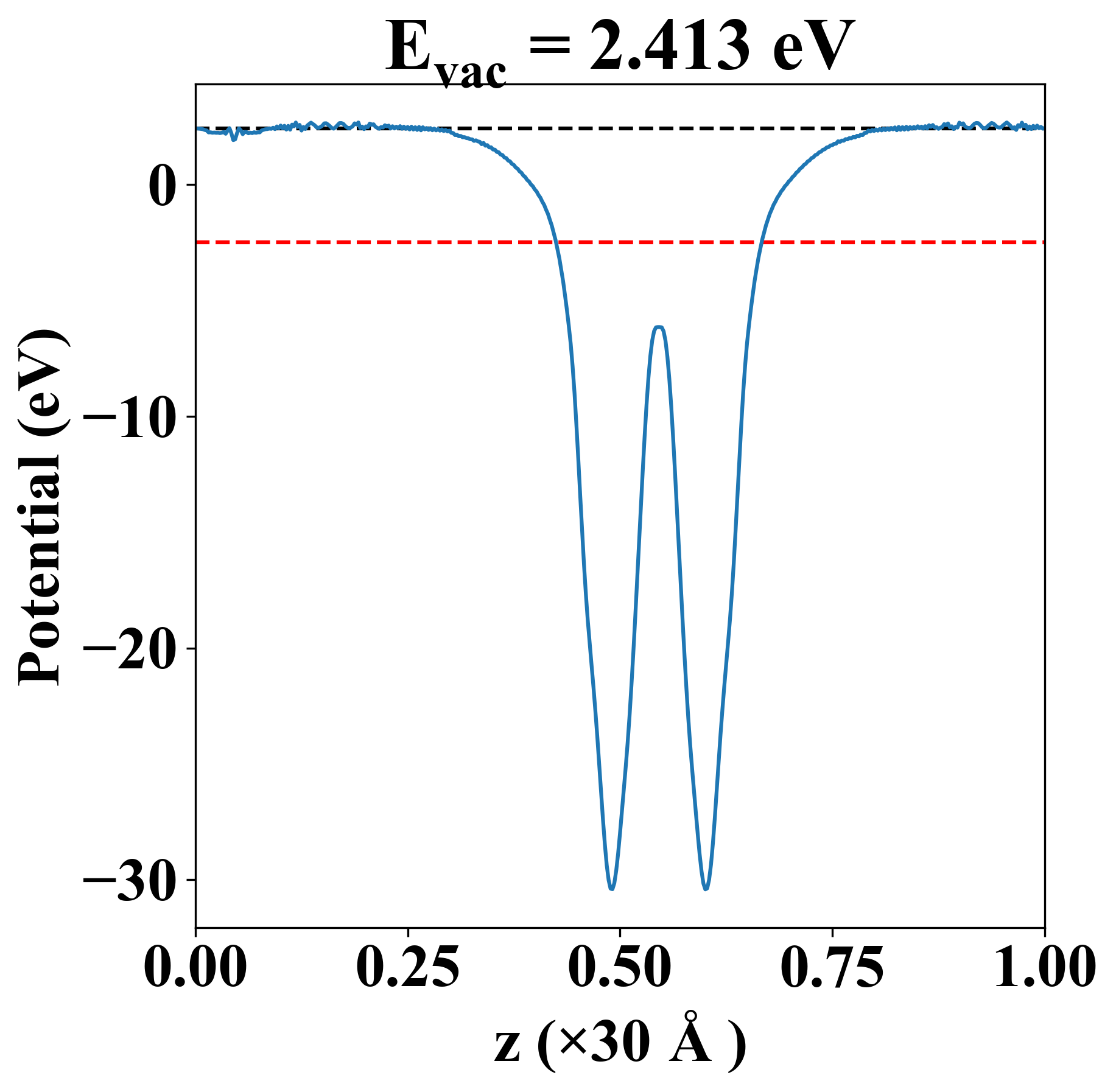
| Vacuum level |
2.413 eV |
| VBM |
-2.506 eV |
| CBM |
-2.501 eV |
| Work function |
4.918 eV |
| Direct gap |
No |
| Property |
Value |
| Band gap |
0.00 eV |
| E-fermi |
-2.505 eV |
| Vacuum level |
2.413 eV |
| VBM |
-2.506 eV |
| CBM |
-2.501 eV |
| Work function |
4.918 eV |
| Cij (N/m) |
xx |
yy |
xy |
| xx |
38.632 |
33.058 |
0.000 |
| yy |
33.058 |
38.632 |
-0.000 |
| xy |
0.000 |
-0.000 |
2.787 |
| Phonon mode at Γ point (THz) |
| 0.001 |
| 0.001 |
| 0.001 |
| 0.562 |
| 0.562 |
| 3.039 |
| 4.709 |
| 5.366 |
| 6.151 |
| 6.151 |
| 6.572 |
| 6.572 |
| Property |
Value |
| from where |
c2db-1676 |