Pt2S2
MatHub2d-981-Pt2S2
| Property |
Value |
| Space group |
(187, 'P-6m2') |
| Crystal system |
hexagonal |
| Magnetic |
No |
| Band gap (PBE) (eV) |
0.00 |
| Free energy (eV) |
-15.968 |
| Free energy / atom (eV) |
-3.992 |
Lattice Parameters (basic)
| a, b, c (Å): | 3.768 | 3.768 | 30.000 |
| α, β, γ (°): | 90.000 | 90.000 | 120.000 |
Lattice Parameters (computed)
| a, b, c (Å): | 3.701 | 3.701 | 30.000 |
| α, β, γ (°): | 90.000 | 90.000 | 120.000 |
| Property |
Value |
| Band gap |
0.00 eV |
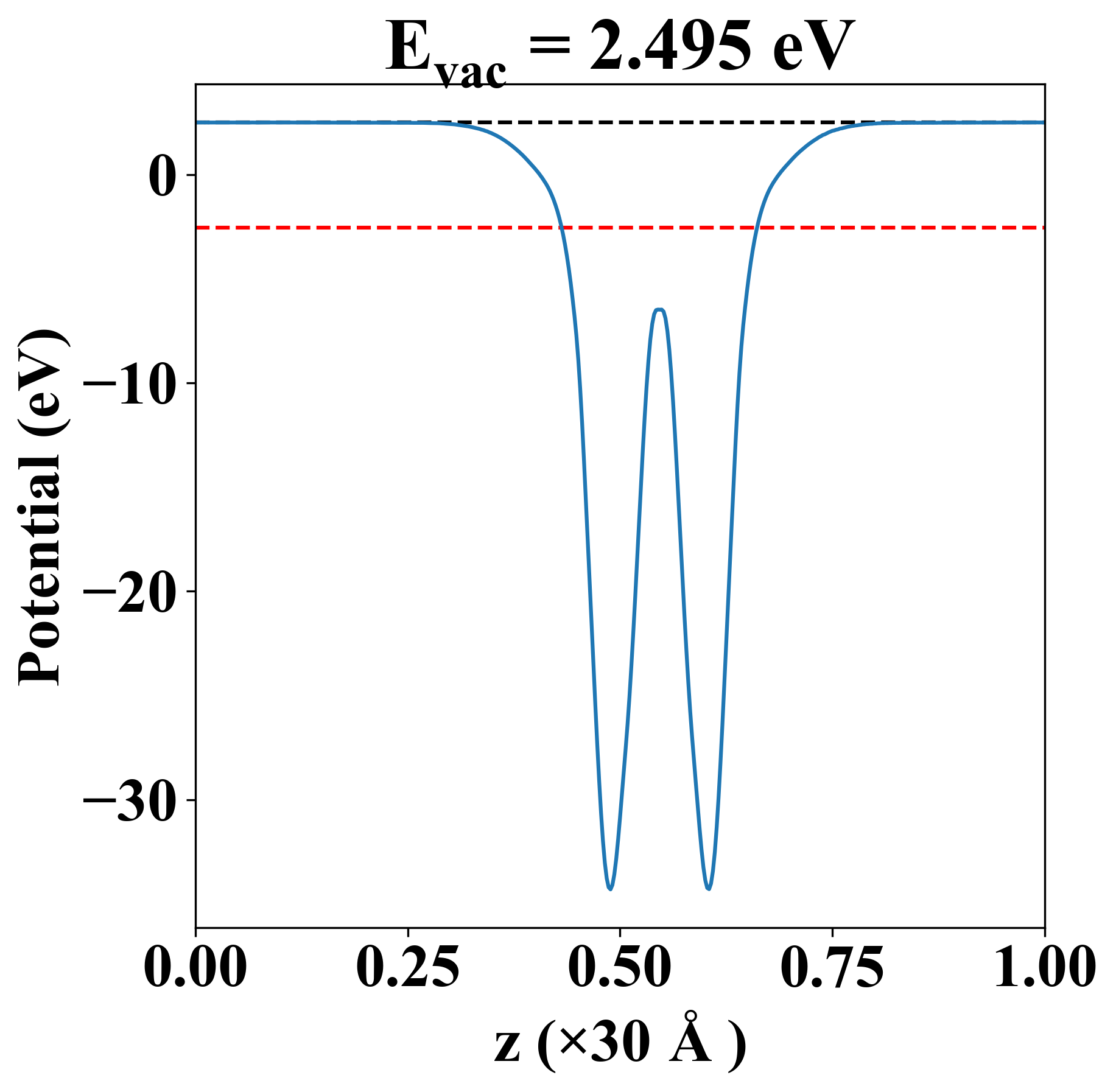
| E-fermi |
-2.565 eV |
| Vacuum level |
2.495 eV |
| VBM |
-2.568 eV |
| CBM |
-2.563 eV |
| Work function |
5.060 eV |
| Direct gap |
No |
| Property |
Value |
| Band gap |
0.00 eV |
| E-fermi |
-2.565 eV |
| Vacuum level |
2.495 eV |
| VBM |
-2.568 eV |
| CBM |
-2.563 eV |
| Work function |
5.060 eV |
| Cij (N/m) |
xx |
yy |
xy |
| xx |
39.389 |
40.573 |
-0.000 |
| yy |
40.573 |
39.389 |
0.000 |
| xy |
-0.000 |
0.000 |
-0.592 |
| Phonon mode at Γ point (THz) |
| -0.001 |
| 0.001 |
| 0.001 |
| 0.643 |
| 0.643 |
| 3.263 |
| 6.556 |
| 7.032 |
| 9.082 |
| 9.082 |
| 9.928 |
| 9.928 |
| Property |
Value |
| from where |
c2db-1675 |