Pt1Se2
MatHub2d-978-Pt1Se2
| Property |
Value |
| Space group |
(187, 'P-6m2') |
| Crystal system |
hexagonal |
| Magnetic |
No |
| Band gap (PBE) (eV) |
0.00 |
| Free energy (eV) |
-10.886 |
| Free energy / atom (eV) |
-3.629 |
Lattice Parameters (basic)
| a, b, c (Å): | 3.646 | 3.646 | 30.000 |
| α, β, γ (°): | 90.000 | 90.000 | 120.000 |
Lattice Parameters (computed)
| a, b, c (Å): | 3.635 | 3.635 | 30.000 |
| α, β, γ (°): | 90.000 | 90.000 | 120.000 |
| Property |
Value |
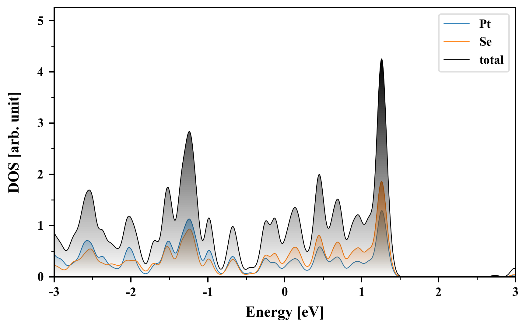
| Band gap |
0.00 eV |
| E-fermi |
-2.493 eV |
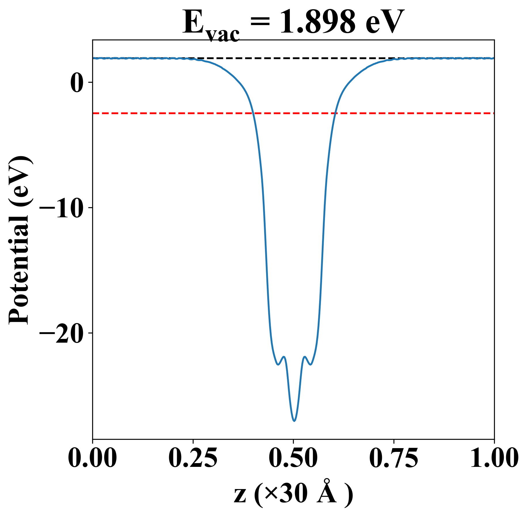
| Vacuum level |
1.898 eV |
| VBM |
-2.494 eV |
| CBM |
-2.492 eV |
| Work function |
4.391 eV |
| Direct gap |
No |
| Property |
Value |
| Band gap |
0.00 eV |
| E-fermi |
-2.493 eV |
| Vacuum level |
1.898 eV |
| VBM |
-2.494 eV |
| CBM |
-2.492 eV |
| Work function |
4.391 eV |
| Cij (N/m) |
xx |
yy |
xy |
| xx |
37.933 |
18.139 |
-0.000 |
| yy |
18.139 |
37.933 |
0.000 |
| xy |
-0.000 |
0.000 |
9.897 |
| Phonon mode at Γ point (THz) |
| -0.001 |
| 0.000 |
| 0.000 |
| 3.256 |
| 3.256 |
| 3.571 |
| 3.571 |
| 3.820 |
| 5.938 |
| Property |
Value |
| from where |
c2db-585 |