Pt1Se2
MatHub2d-977-Pt1Se2
| Property |
Value |
| Space group |
(164, 'P-3m1') |
| Crystal system |
hexagonal |
| Magnetic |
No |
| Band gap (PBE) (eV) |
1.25 |
| Free energy (eV) |
-12.206 |
| Free energy / atom (eV) |
-4.069 |
Lattice Parameters (basic)
| a, b, c (Å): | 3.754 | 3.754 | 30.000 |
| α, β, γ (°): | 90.000 | 90.000 | 120.000 |
Lattice Parameters (computed)
| a, b, c (Å): | 3.718 | 3.718 | 30.000 |
| α, β, γ (°): | 90.000 | 90.000 | 120.000 |
| Property |
Value |
| Band gap |
1.25 eV |
| E-fermi |
-3.492 eV |
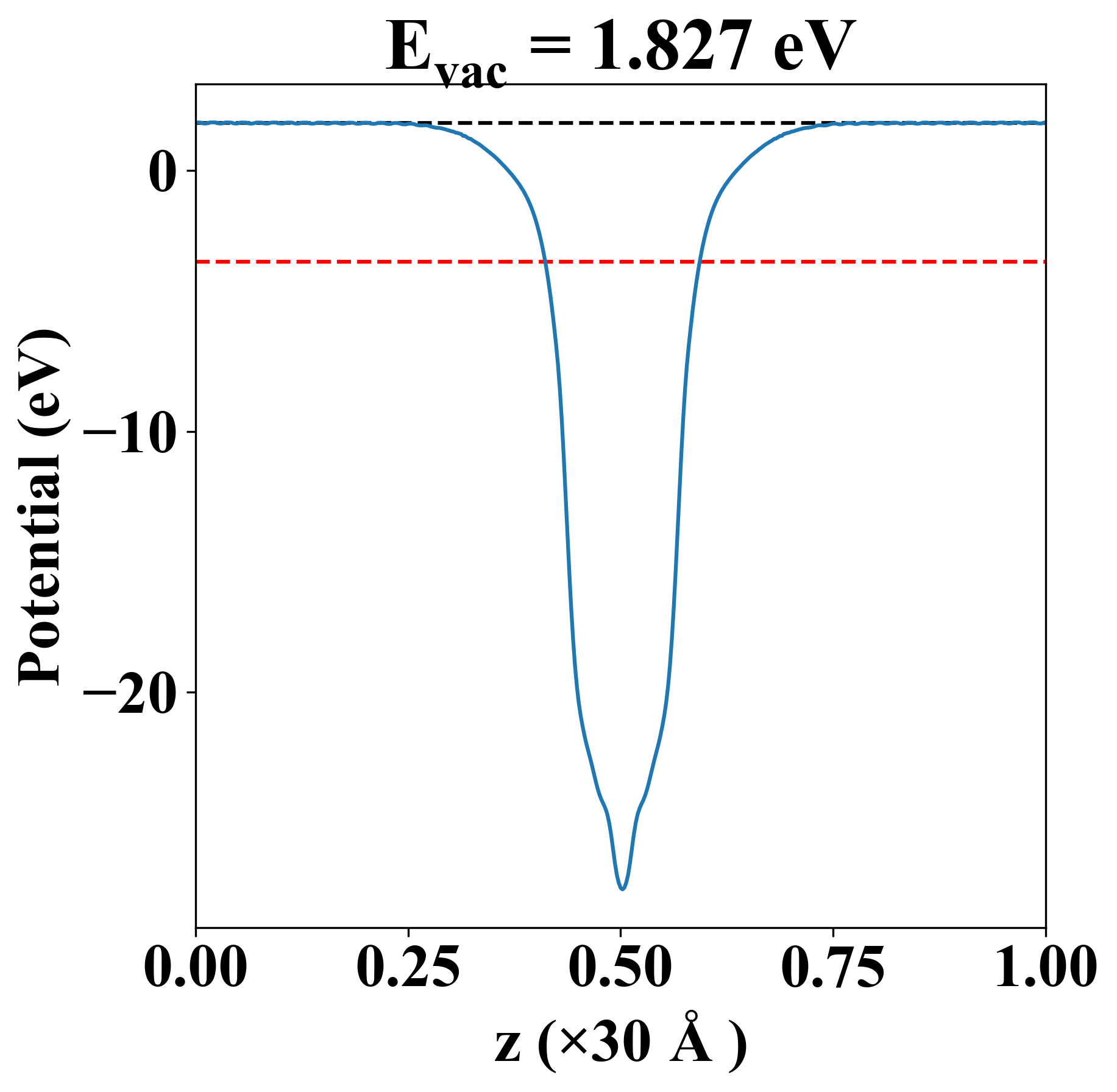
| Vacuum level |
1.827 eV |
| VBM |
-3.766 eV |
| CBM |
-2.514 eV |
| Work function |
5.319 eV |
| Direct gap |
No |
| Property |
Value |
| Band gap |
1.06 eV |
| E-fermi |
-3.278 eV |
| VBM |
-3.573 eV |
| CBM |
-2.508 eV |
| Free energy (eV) |
-12.597 |
| Free energy / atom (eV) |
-4.199 |
| Property |
Value |
| Band gap |
1.25 eV |
| E-fermi |
-3.492 eV |
| Vacuum level |
1.827 eV |
| VBM |
-3.766 eV |
| CBM |
-2.514 eV |
| Work function |
5.319 eV |
| Cij (N/m) |
xx |
yy |
xy |
| xx |
72.905 |
20.569 |
-0.000 |
| yy |
20.569 |
72.905 |
-0.000 |
| xy |
-0.000 |
-0.000 |
26.168 |
| Phonon mode at Γ point (THz) |
| -0.002 |
| 0.001 |
| 0.001 |
| 5.196 |
| 5.196 |
| 6.007 |
| 6.609 |
| 6.609 |
| 6.763 |
| Property |
Value |
| from where |
shu-54 |