Pt1S2
MatHub2d-976-Pt1S2
| Property |
Value |
| Space group |
(187, 'P-6m2') |
| Crystal system |
hexagonal |
| Magnetic |
|
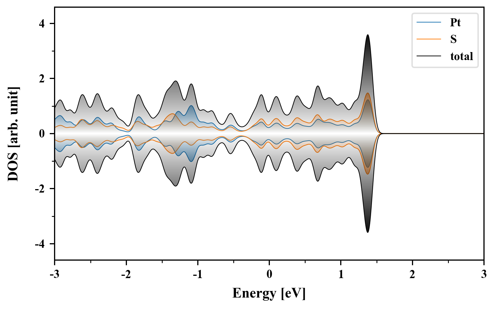
| Band gap (PBE) (eV) |
0.00 |
| Free energy (eV) |
-11.599 |
| Free energy / atom (eV) |
-3.866 |
Lattice Parameters (basic)
| a, b, c (Å): | 3.491 | 3.491 | 30.000 |
| α, β, γ (°): | 90.000 | 90.000 | 120.000 |
Lattice Parameters (computed)
| a, b, c (Å): | 3.479 | 3.479 | 30.000 |
| α, β, γ (°): | 90.000 | 90.000 | 120.000 |
| Property |
Value |
| Band gap |
0.00 eV |
| E-fermi |
-2.837 eV |
| Vacuum level |
1.362 eV |
| VBM |
-2.838 eV |
| CBM |
-2.834 eV |
| Work function |
4.200 eV |
| Direct gap |
No |
| Property |
Value |
| Band gap |
0.00 eV |
| E-fermi |
-2.837 eV |
| Vacuum level |
1.362 eV |
| VBM |
-2.838 eV |
| CBM |
-2.834 eV |
| Work function |
4.200 eV |
| Cij (N/m) |
xx |
yy |
xy |
| xx |
57.729 |
7.379 |
0.000 |
| yy |
7.379 |
57.729 |
0.000 |
| xy |
0.000 |
0.000 |
25.175 |
| Phonon mode at Γ point (THz) |
| -2.029 |
| -2.029 |
| -0.011 |
| 0.013 |
| 0.013 |
| 2.693 |
| 4.226 |
| 4.226 |
| 9.411 |
| Property |
Value |
| from where |
c2db-583 |