Pd2S2
MatHub2d-971-Pd2S2
| Property |
Value |
| Space group |
(187, 'P-6m2') |
| Crystal system |
hexagonal |
| Magnetic |
|
| Band gap (PBE) (eV) |
0.00 |
| Free energy (eV) |
-14.472 |
| Free energy / atom (eV) |
-3.618 |
Lattice Parameters (basic)
| a, b, c (Å): | 3.741 | 3.741 | 30.000 |
| α, β, γ (°): | 90.000 | 90.000 | 120.000 |
Lattice Parameters (computed)
| a, b, c (Å): | 3.574 | 3.574 | 30.000 |
| α, β, γ (°): | 90.000 | 90.000 | 120.000 |
| Property |
Value |
| Band gap |
0.00 eV |
| E-fermi |
-3.043 eV |
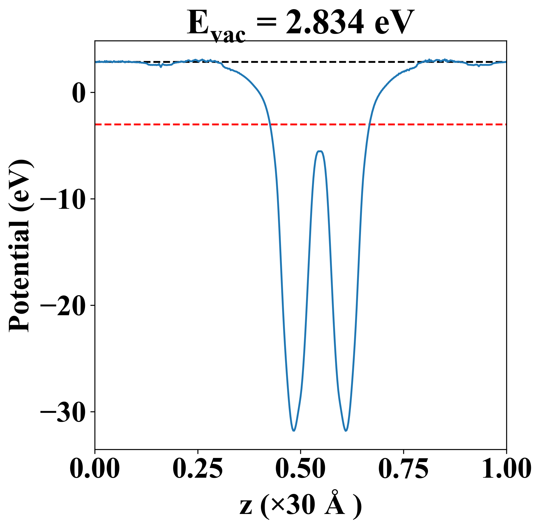
| Vacuum level |
2.834 eV |
| VBM |
-3.043 eV |
| CBM |
-3.038 eV |
| Work function |
5.876 eV |
| Direct gap |
No |
| Property |
Value |
| Band gap |
0.00 eV |
| E-fermi |
-3.043 eV |
| Vacuum level |
2.834 eV |
| VBM |
-3.043 eV |
| CBM |
-3.038 eV |
| Work function |
5.876 eV |
| Cij (N/m) |
xx |
yy |
xy |
| xx |
17.942 |
18.872 |
-0.000 |
| yy |
18.872 |
17.942 |
-0.000 |
| xy |
-0.000 |
-0.000 |
-0.465 |
| Phonon mode at Γ point (THz) |
| -0.537 |
| -0.537 |
| -0.001 |
| 0.001 |
| 0.001 |
| 2.143 |
| 7.425 |
| 7.999 |
| 9.652 |
| 9.652 |
| 9.903 |
| 9.903 |
| Property |
Value |
| from where |
c2db-1671 |