Pd1Se2
MatHub2d-968-Pd1Se2
| Property |
Value |
| Space group |
(187, 'P-6m2') |
| Crystal system |
hexagonal |
| Magnetic |
No |
| Band gap (PBE) (eV) |
0.00 |
| Free energy (eV) |
-10.464 |
| Free energy / atom (eV) |
-3.488 |
Lattice Parameters (basic)
| a, b, c (Å): | 4.001 | 4.001 | 30.000 |
| α, β, γ (°): | 90.000 | 90.000 | 120.000 |
Lattice Parameters (computed)
| a, b, c (Å): | 3.980 | 3.980 | 30.000 |
| α, β, γ (°): | 90.000 | 90.000 | 120.000 |
| Property |
Value |
| Band gap |
0.00 eV |
| E-fermi |
-2.158 eV |
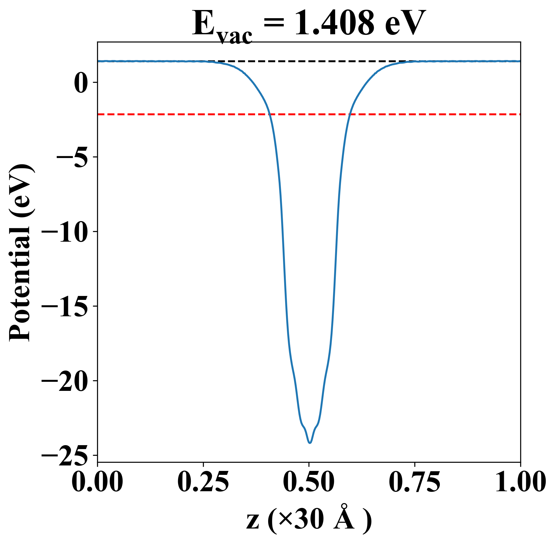
| Vacuum level |
1.408 eV |
| VBM |
-2.159 eV |
| CBM |
-2.155 eV |
| Work function |
3.566 eV |
| Direct gap |
No |
| Property |
Value |
| Band gap |
0.00 eV |
| E-fermi |
-2.158 eV |
| Vacuum level |
1.408 eV |
| VBM |
-2.159 eV |
| CBM |
-2.155 eV |
| Work function |
3.566 eV |
| Cij (N/m) |
xx |
yy |
xy |
| xx |
35.353 |
30.232 |
0.000 |
| yy |
30.232 |
35.353 |
-0.000 |
| xy |
0.000 |
-0.000 |
2.560 |
| Phonon mode at Γ point (THz) |
| -0.009 |
| -0.007 |
| -0.007 |
| 2.241 |
| 2.241 |
| 3.075 |
| 3.075 |
| 3.090 |
| 8.318 |
| Property |
Value |
| from where |
c2db-577 |