Pd1Se2
MatHub2d-967-Pd1Se2
| Property |
Value |
| Space group |
(164, 'P-3m1') |
| Crystal system |
hexagonal |
| Magnetic |
No |
| Band gap (PBE) (eV) |
0.53 |
| Free energy (eV) |
-10.945 |
| Free energy / atom (eV) |
-3.648 |
Lattice Parameters (basic)
| a, b, c (Å): | 3.735 | 3.735 | 30.000 |
| α, β, γ (°): | 90.000 | 90.000 | 120.000 |
Lattice Parameters (computed)
| a, b, c (Å): | 3.701 | 3.701 | 30.000 |
| α, β, γ (°): | 90.000 | 90.000 | 120.000 |
| Property |
Value |
| Band gap |
0.53 eV |
| E-fermi |
-3.354 eV |
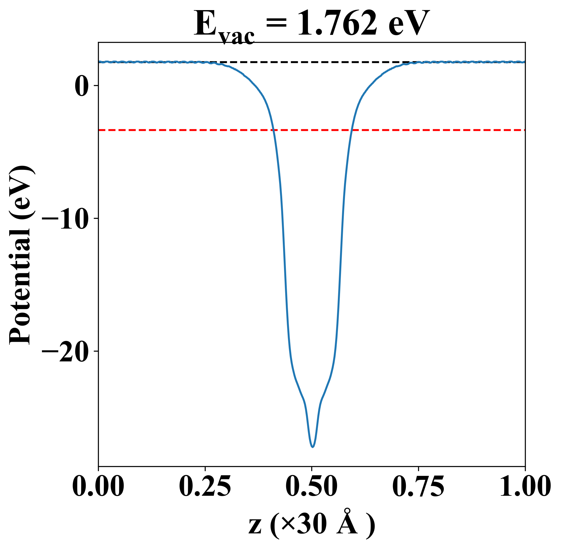
| Vacuum level |
1.762 eV |
| VBM |
-3.575 eV |
| CBM |
-3.040 eV |
| Work function |
5.116 eV |
| Direct gap |
No |
| Property |
Value |
| Band gap |
0.36 eV |
| E-fermi |
-3.217 eV |
| VBM |
-3.402 eV |
| CBM |
-3.037 eV |
| Free energy (eV) |
-11.019 |
| Free energy / atom (eV) |
-3.673 |
| Property |
Value |
| Band gap |
0.53 eV |
| E-fermi |
-3.354 eV |
| Vacuum level |
1.762 eV |
| VBM |
-3.575 eV |
| CBM |
-3.040 eV |
| Work function |
5.116 eV |
| Cij (N/m) |
xx |
yy |
xy |
| xx |
55.531 |
16.721 |
-0.000 |
| yy |
16.721 |
55.531 |
0.000 |
| xy |
-0.000 |
0.000 |
19.405 |
| Phonon mode at Γ point (THz) |
| -0.007 |
| -0.002 |
| -0.002 |
| 4.881 |
| 4.881 |
| 5.526 |
| 7.161 |
| 7.161 |
| 7.477 |
| Property |
Value |
| from where |
c2db-576 |