Pd1S2
MatHub2d-966-Pd1S2
| Property |
Value |
| Space group |
(187, 'P-6m2') |
| Crystal system |
hexagonal |
| Magnetic |
No |
| Band gap (PBE) (eV) |
0.00 |
| Free energy (eV) |
-11.489 |
| Free energy / atom (eV) |
-3.830 |
Lattice Parameters (basic)
| a, b, c (Å): | 3.915 | 3.915 | 30.000 |
| α, β, γ (°): | 90.000 | 90.000 | 120.000 |
Lattice Parameters (computed)
| a, b, c (Å): | 3.877 | 3.877 | 30.000 |
| α, β, γ (°): | 90.000 | 90.000 | 120.000 |
| Property |
Value |
| Band gap |
0.00 eV |
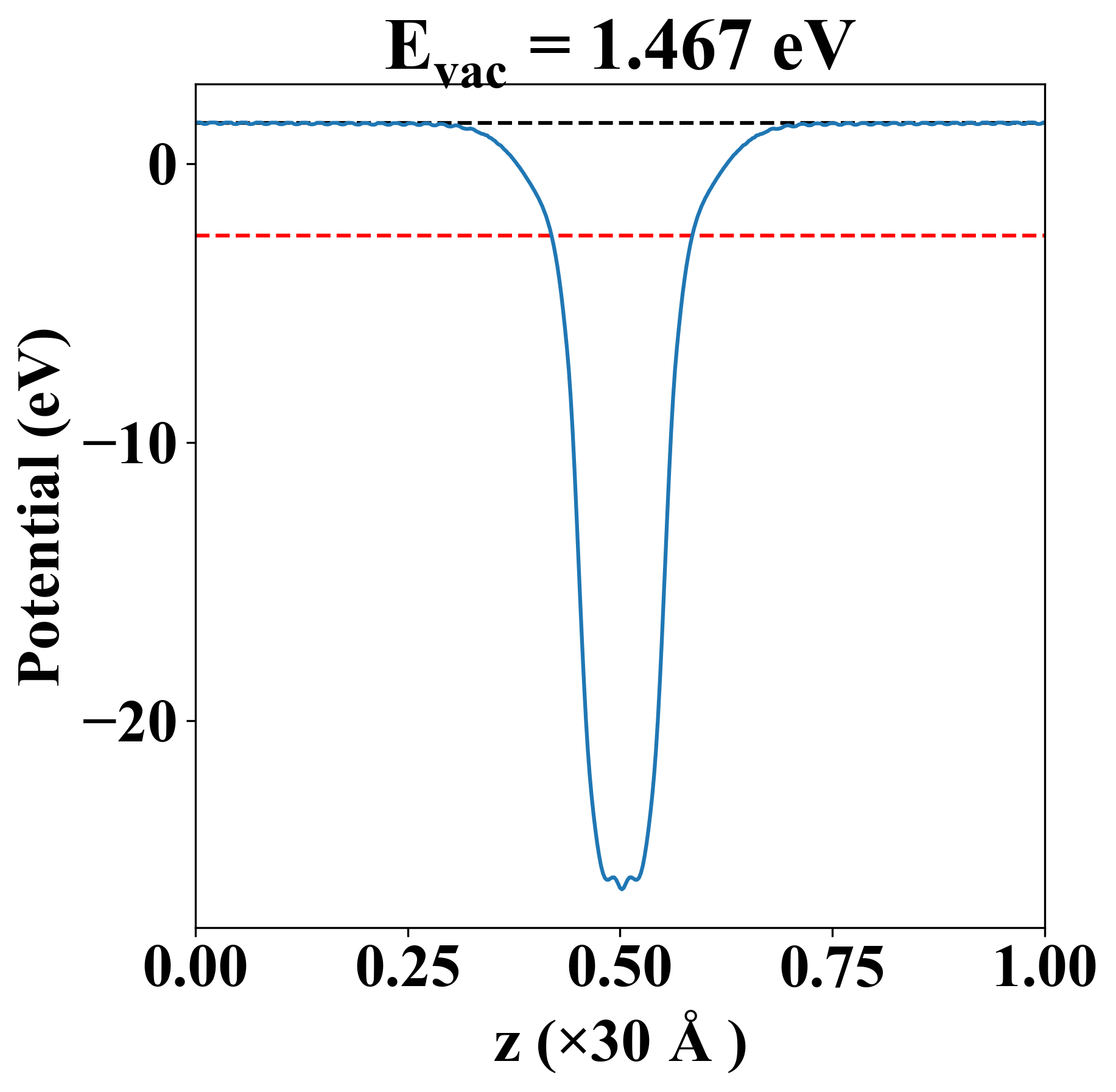
| E-fermi |
-2.569 eV |
| Vacuum level |
1.467 eV |
| VBM |
-2.571 eV |
| CBM |
-2.568 eV |
| Work function |
4.036 eV |
| Direct gap |
No |
| Property |
Value |
| Band gap |
0.00 eV |
| E-fermi |
-2.569 eV |
| Vacuum level |
1.467 eV |
| VBM |
-2.571 eV |
| CBM |
-2.568 eV |
| Work function |
4.036 eV |
| Cij (N/m) |
xx |
yy |
xy |
| xx |
58.673 |
26.939 |
0.000 |
| yy |
26.939 |
58.673 |
-0.000 |
| xy |
0.000 |
-0.000 |
15.867 |
| Phonon mode at Γ point (THz) |
| -2.469 |
| -2.469 |
| -0.002 |
| 0.032 |
| 0.032 |
| 3.365 |
| 4.926 |
| 4.926 |
| 15.197 |
| Property |
Value |
| from where |
c2db-575 |