Pd1S2
MatHub2d-965-Pd1S2
| Property |
Value |
| Space group |
(164, 'P-3m1') |
| Crystal system |
hexagonal |
| Magnetic |
No |
| Band gap (PBE) (eV) |
1.08 |
| Free energy (eV) |
-11.930 |
| Free energy / atom (eV) |
-3.977 |
Lattice Parameters (basic)
| a, b, c (Å): | 3.553 | 3.553 | 30.000 |
| α, β, γ (°): | 90.000 | 90.000 | 120.000 |
Lattice Parameters (computed)
| a, b, c (Å): | 3.514 | 3.514 | 30.000 |
| α, β, γ (°): | 90.000 | 90.000 | 120.000 |
| Property |
Value |
| Band gap |
1.08 eV |
| E-fermi |
-3.989 eV |
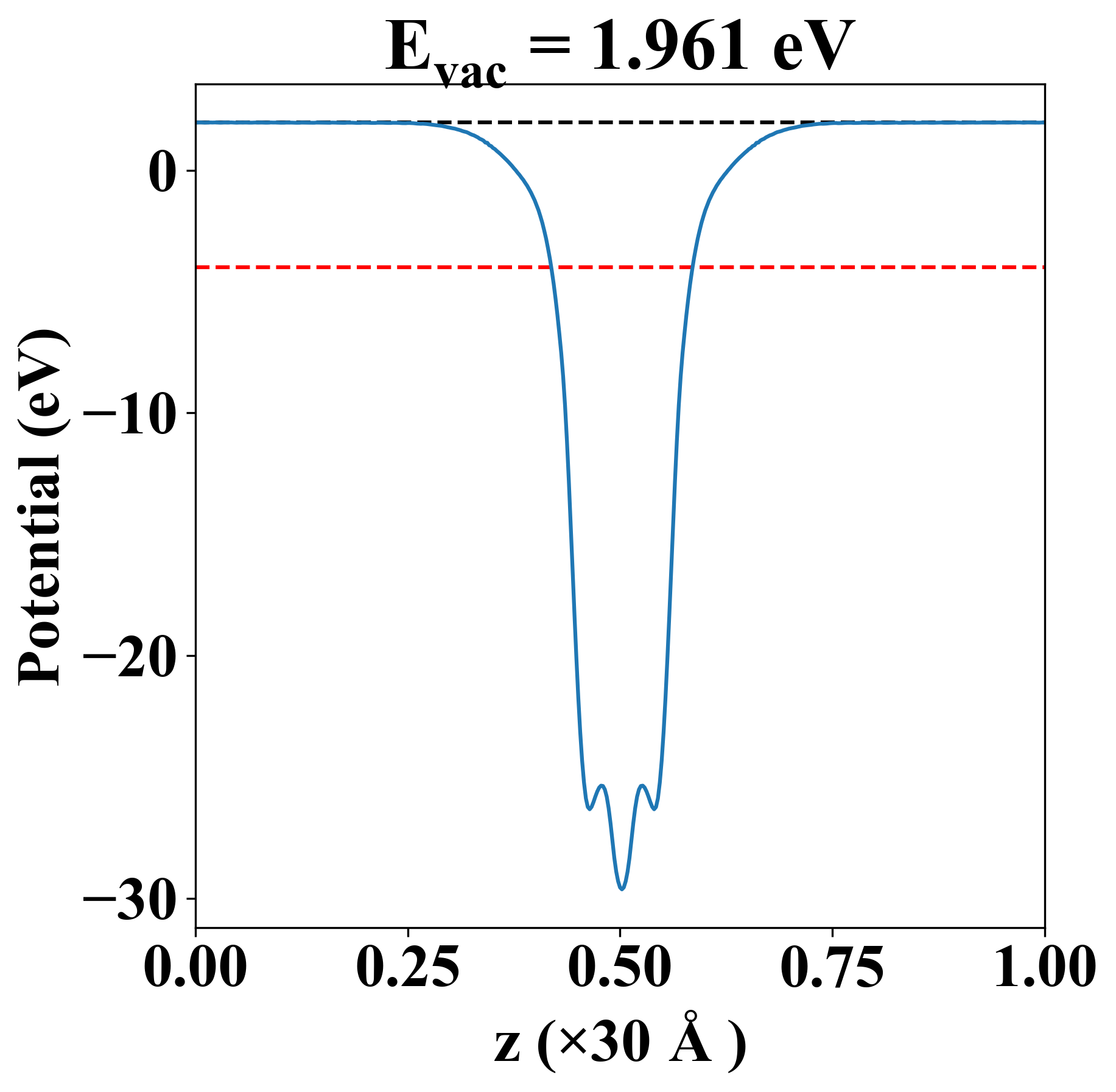
| Vacuum level |
1.961 eV |
| VBM |
-4.228 eV |
| CBM |
-3.147 eV |
| Work function |
5.950 eV |
| Direct gap |
No |
| Property |
Value |
| Band gap |
1.03 eV |
| E-fermi |
-3.949 eV |
| VBM |
-4.169 eV |
| CBM |
-3.141 eV |
| Free energy (eV) |
-11.970 |
| Free energy / atom (eV) |
-3.990 |
| Property |
Value |
| Band gap |
1.08 eV |
| E-fermi |
-3.989 eV |
| Vacuum level |
1.961 eV |
| VBM |
-4.228 eV |
| CBM |
-3.147 eV |
| Work function |
5.950 eV |
| Cij (N/m) |
xx |
yy |
xy |
| xx |
68.428 |
20.300 |
0.000 |
| yy |
20.300 |
68.428 |
0.000 |
| xy |
0.000 |
0.000 |
24.064 |
| Phonon mode at Γ point (THz) |
| -0.004 |
| -0.001 |
| -0.001 |
| 8.222 |
| 8.222 |
| 9.203 |
| 9.675 |
| 9.675 |
| 10.126 |
| Property |
Value |
| from where |
c2db-574 |