Pb6Sb2
MatHub2d-964-Pb6Sb2
| Property |
Value |
| Space group |
(191, 'P6/mmm') |
| Crystal system |
hexagonal |
| Magnetic |
Yes |
| Band gap (PBE) (eV) |
0.00 |
| Free energy (eV) |
-24.343 |
| Free energy / atom (eV) |
-3.043 |
Lattice Parameters (basic)
| a, b, c (Å): | 10.356 | 10.356 | 30.000 |
| α, β, γ (°): | 90.000 | 90.000 | 120.000 |
Lattice Parameters (computed)
| a, b, c (Å): | 10.411 | 10.411 | 30.000 |
| α, β, γ (°): | 90.000 | 90.000 | 120.000 |
| Property |
Value |
| Band gap |
0.00 eV |
| E-fermi |
-3.286 eV |
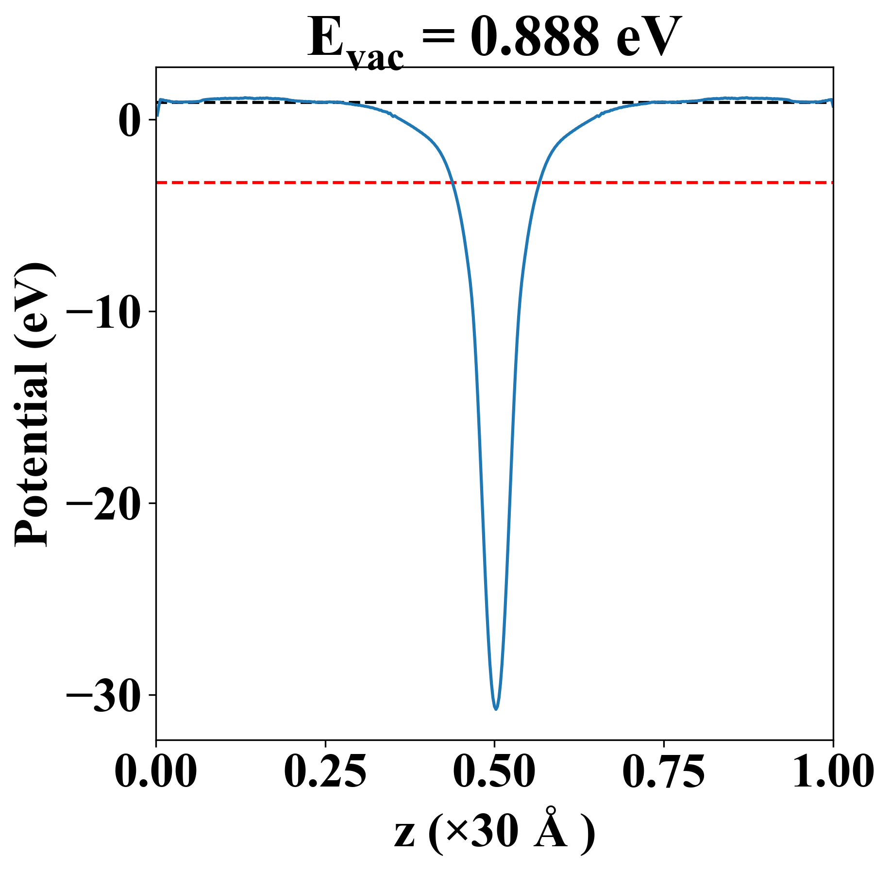
| Vacuum level |
0.888 eV |
| VBM |
-3.286 eV |
| CBM |
-3.286 eV |
| Work function |
4.174 eV |
| Direct gap |
No |
| Property |
Value |
| Band gap |
0.00 eV |
| E-fermi |
-3.286 eV |
| Vacuum level |
0.888 eV |
| VBM |
-3.286 eV |
| CBM |
-3.286 eV |
| Work function |
4.174 eV |
| Cij (N/m) |
xx |
yy |
xy |
| xx |
2.793 |
25.624 |
-0.000 |
| yy |
25.624 |
2.793 |
0.000 |
| xy |
-0.000 |
0.000 |
-11.415 |
| Phonon mode at Γ point (THz) |
| -1.705 |
| -1.057 |
| -0.962 |
| -0.962 |
| -0.541 |
| -0.541 |
| -0.501 |
| -0.002 |
| -0.001 |
| 0.006 |
| 0.040 |
| 0.040 |
| 0.558 |
| 2.028 |
| 2.028 |
| 2.225 |
| 2.225 |
| 2.564 |
| 2.713 |
| 2.835 |
| 4.072 |
| 4.072 |
| 4.121 |
| 4.121 |
| Property |
Value |
| from where |
c2db-729 |