Pb1Te2
MatHub2d-963-Pb1Te2
| Property |
Value |
| Space group |
(164, 'P-3m1') |
| Crystal system |
hexagonal |
| Magnetic |
No |
| Band gap (PBE) (eV) |
0.00 |
| Free energy (eV) |
-9.485 |
| Free energy / atom (eV) |
-3.162 |
Lattice Parameters (basic)
| a, b, c (Å): | 4.181 | 4.181 | 30.000 |
| α, β, γ (°): | 90.000 | 90.000 | 120.000 |
Lattice Parameters (computed)
| a, b, c (Å): | 4.161 | 4.161 | 30.000 |
| α, β, γ (°): | 90.000 | 90.000 | 120.000 |
| Property |
Value |
| Band gap |
0.00 eV |
| E-fermi |
-2.876 eV |
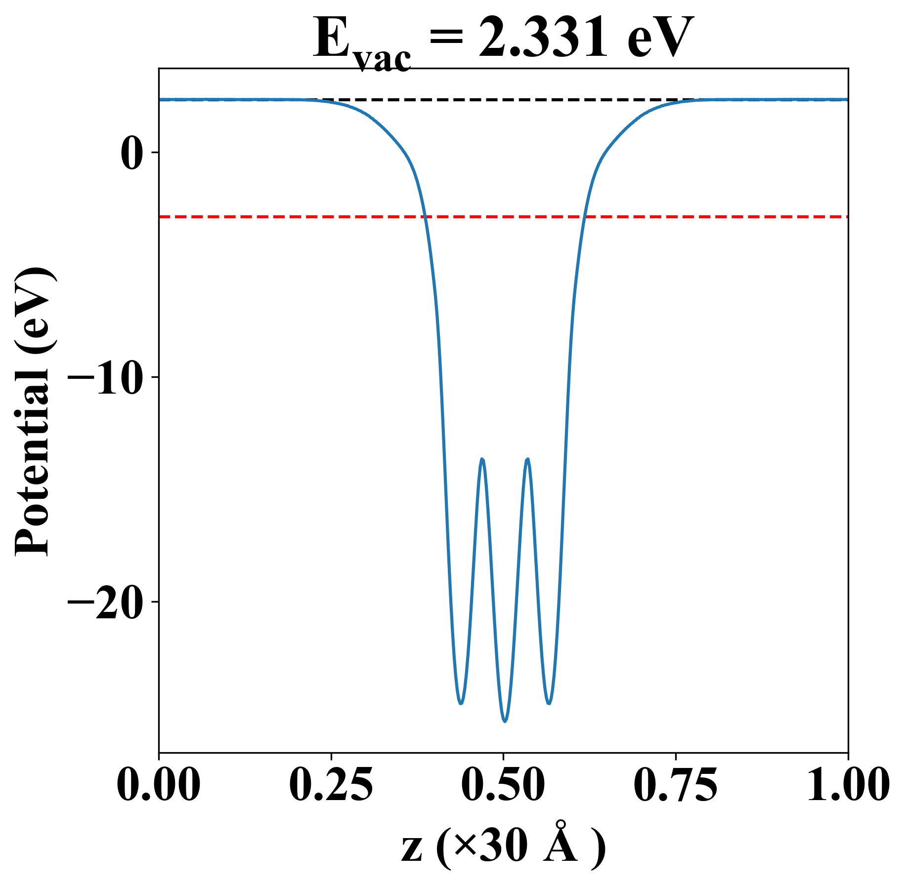
| Vacuum level |
2.331 eV |
| VBM |
-2.876 eV |
| CBM |
-2.876 eV |
| Work function |
5.207 eV |
| Direct gap |
No |
| Property |
Value |
| Band gap |
0.00 eV |
| E-fermi |
-2.876 eV |
| Vacuum level |
2.331 eV |
| VBM |
-2.876 eV |
| CBM |
-2.876 eV |
| Work function |
5.207 eV |
| Cij (N/m) |
xx |
yy |
xy |
| xx |
8.928 |
15.970 |
0.000 |
| yy |
15.970 |
8.928 |
-0.000 |
| xy |
0.000 |
-0.000 |
-3.521 |
| Phonon mode at Γ point (THz) |
| -0.001 |
| 0.001 |
| 0.001 |
| 1.722 |
| 1.722 |
| 2.271 |
| 2.271 |
| 2.565 |
| 2.910 |
| Property |
Value |
| from where |
c2db-570 |