Pb1Te2
MatHub2d-962-Pb1Te2
| Property |
Value |
| Space group |
(187, 'P-6m2') |
| Crystal system |
hexagonal |
| Magnetic |
No |
| Band gap (PBE) (eV) |
0.00 |
| Free energy (eV) |
-9.442 |
| Free energy / atom (eV) |
-3.147 |
Lattice Parameters (basic)
| a, b, c (Å): | 3.575 | 3.575 | 30.000 |
| α, β, γ (°): | 90.000 | 90.000 | 120.000 |
Lattice Parameters (computed)
| a, b, c (Å): | 3.565 | 3.565 | 30.000 |
| α, β, γ (°): | 90.000 | 90.000 | 120.000 |
| Property |
Value |
| Band gap |
0.00 eV |
| E-fermi |
-1.316 eV |
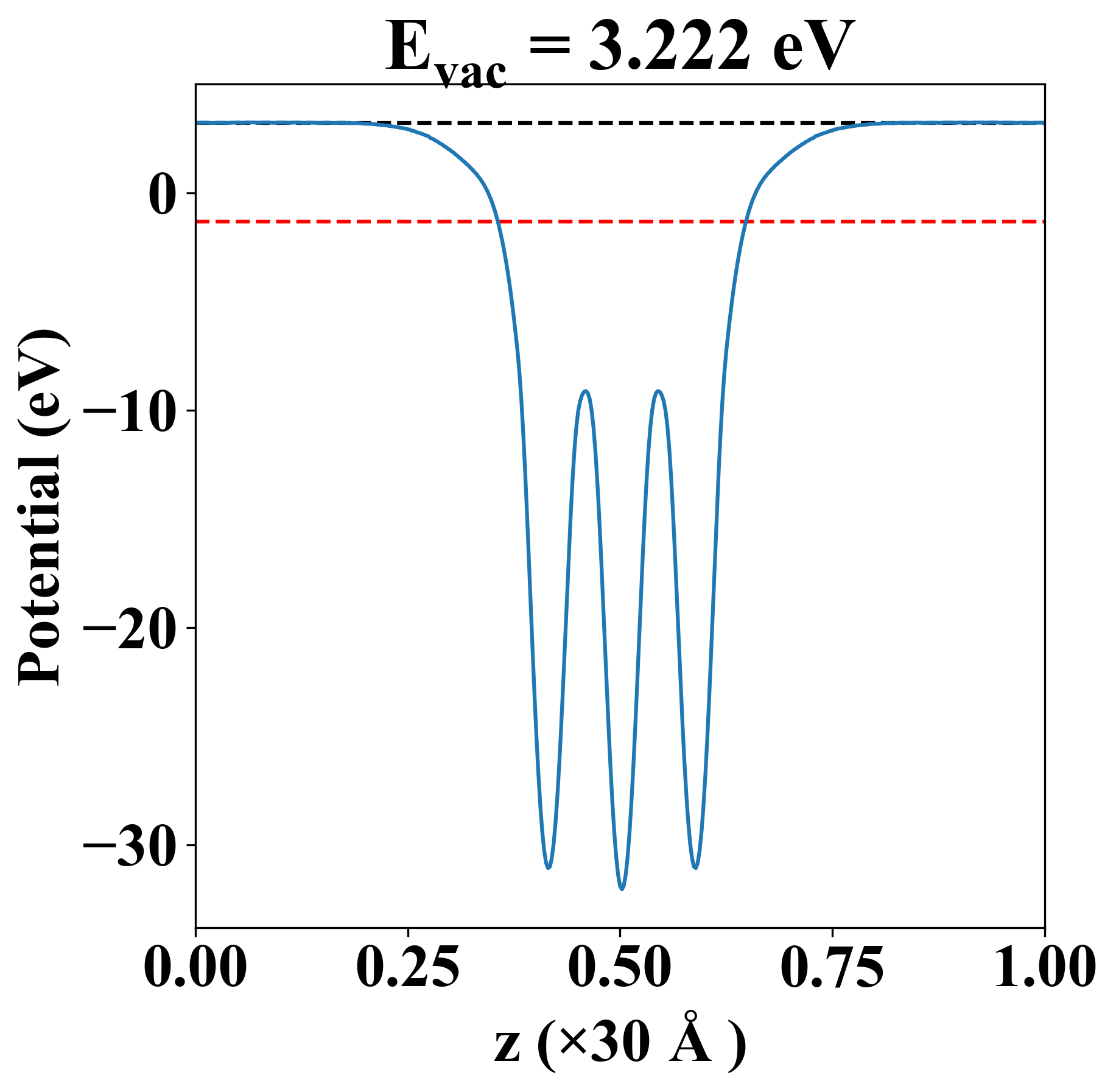
| Vacuum level |
3.222 eV |
| VBM |
-1.316 eV |
| CBM |
-1.313 eV |
| Work function |
4.538 eV |
| Direct gap |
No |
| Property |
Value |
| Band gap |
0.00 eV |
| E-fermi |
-1.316 eV |
| Vacuum level |
3.222 eV |
| VBM |
-1.316 eV |
| CBM |
-1.313 eV |
| Work function |
4.538 eV |
| Cij (N/m) |
xx |
yy |
xy |
| xx |
-9.833 |
41.942 |
0.000 |
| yy |
41.942 |
-9.833 |
0.000 |
| xy |
0.000 |
0.000 |
-25.887 |
| Phonon mode at Γ point (THz) |
| -0.008 |
| 0.001 |
| 0.001 |
| 1.416 |
| 1.416 |
| 1.435 |
| 1.435 |
| 1.906 |
| 2.391 |
| Property |
Value |
| from where |
c2db-571 |