Pb1Se2
MatHub2d-960-Pb1Se2
| Property |
Value |
| Space group |
(187, 'P-6m2') |
| Crystal system |
hexagonal |
| Magnetic |
No |
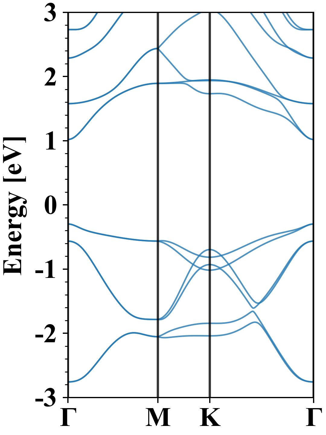
| Band gap (PBE) (eV) |
1.89 |
| Free energy (eV) |
-11.157 |
| Free energy / atom (eV) |
-3.719 |
Lattice Parameters (basic)
| a, b, c (Å): | 4.877 | 4.877 | 30.000 |
| α, β, γ (°): | 90.000 | 90.000 | 120.000 |
Lattice Parameters (computed)
| a, b, c (Å): | 4.885 | 4.885 | 30.000 |
| α, β, γ (°): | 90.000 | 90.000 | 120.000 |
| Property |
Value |
| Band gap |
1.89 eV |
| E-fermi |
-3.622 eV |
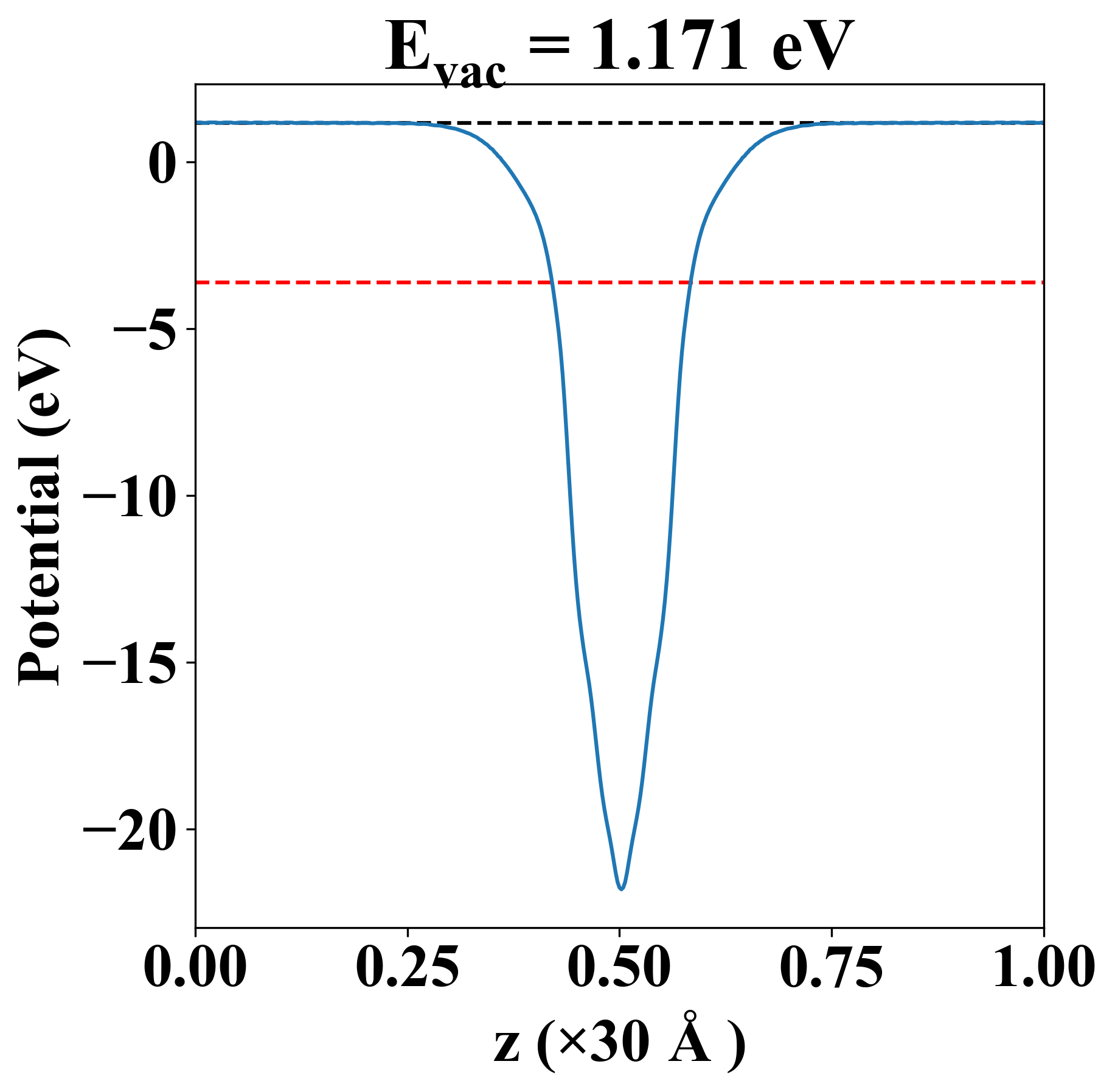
| Vacuum level |
1.171 eV |
| VBM |
-3.911 eV |
| CBM |
-2.017 eV |
| Work function |
4.793 eV |
| Direct gap |
Yes |
| Property |
Value |
| Band gap |
1.32 eV |
| E-fermi |
-3.491 eV |
| VBM |
-3.789 eV |
| CBM |
-2.473 eV |
| Free energy (eV) |
-11.597 |
| Free energy / atom (eV) |
-3.866 |
| Property |
Value |
| Band gap |
1.89 eV |
| E-fermi |
-3.622 eV |
| Vacuum level |
1.171 eV |
| VBM |
-3.911 eV |
| CBM |
-2.017 eV |
| Work function |
4.793 eV |
| Cij (N/m) |
xx |
yy |
xy |
| xx |
24.899 |
22.848 |
0.000 |
| yy |
22.848 |
24.899 |
-0.000 |
| xy |
0.000 |
-0.000 |
1.025 |
| Phonon mode at Γ point (THz) |
| -0.007 |
| 0.001 |
| 0.001 |
| 2.324 |
| 2.324 |
| 2.587 |
| 3.040 |
| 3.040 |
| 8.220 |
| Property |
Value |
| from where |
c2db-569 |