Pb1Se2
MatHub2d-959-Pb1Se2
| Property |
Value |
| Space group |
(164, 'P-3m1') |
| Crystal system |
hexagonal |
| Magnetic |
No |
| Band gap (PBE) (eV) |
0.13 |
| Free energy (eV) |
-10.595 |
| Free energy / atom (eV) |
-3.532 |
Lattice Parameters (basic)
| a, b, c (Å): | 3.999 | 3.999 | 30.000 |
| α, β, γ (°): | 90.000 | 90.000 | 120.000 |
Lattice Parameters (computed)
| a, b, c (Å): | 4.009 | 4.009 | 30.000 |
| α, β, γ (°): | 90.000 | 90.000 | 120.000 |
| Property |
Value |
| Band gap |
0.13 eV |
| E-fermi |
-4.069 eV |
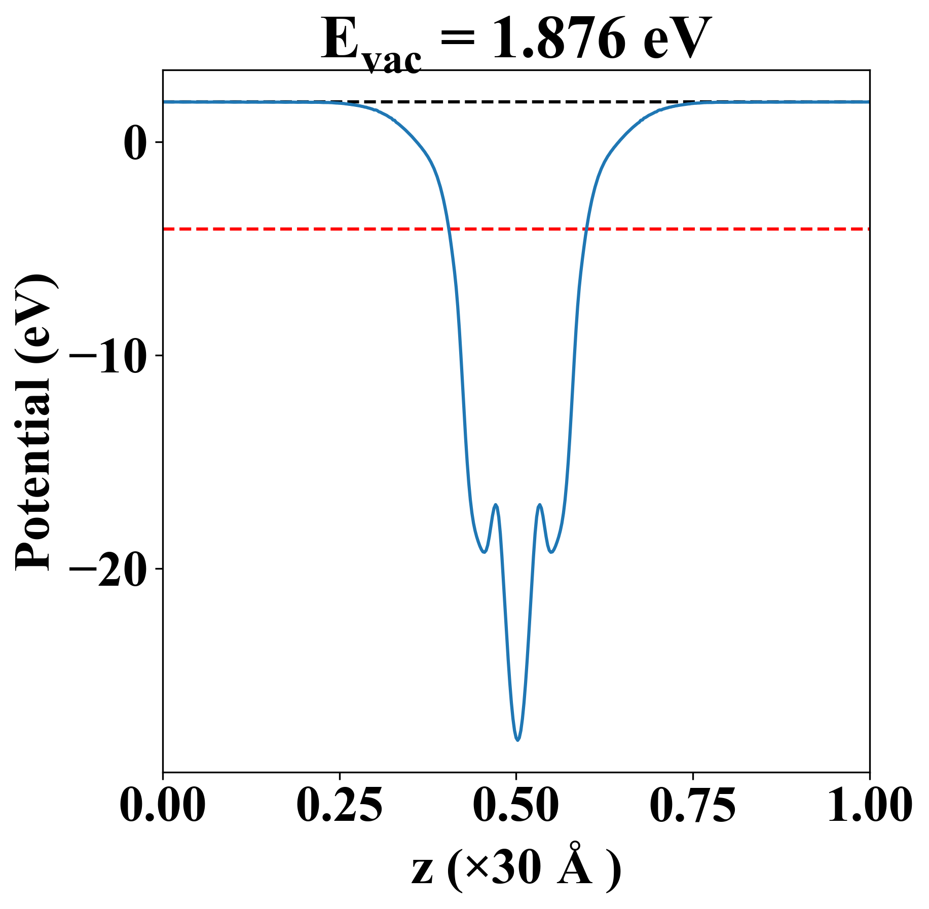
| Vacuum level |
1.876 eV |
| VBM |
-4.141 eV |
| CBM |
-4.008 eV |
| Work function |
5.945 eV |
| Direct gap |
No |
| Property |
Value |
| Band gap |
0.07 eV |
| E-fermi |
-4.001 eV |
| VBM |
-4.033 eV |
| CBM |
-3.961 eV |
| Free energy (eV) |
-11.082 |
| Free energy / atom (eV) |
-3.694 |
| Property |
Value |
| Band gap |
0.13 eV |
| E-fermi |
-4.069 eV |
| Vacuum level |
1.876 eV |
| VBM |
-4.141 eV |
| CBM |
-4.008 eV |
| Work function |
5.945 eV |
| Cij (N/m) |
xx |
yy |
xy |
| xx |
37.728 |
16.292 |
-0.000 |
| yy |
16.292 |
37.728 |
-0.000 |
| xy |
-0.000 |
-0.000 |
10.718 |
| Phonon mode at Γ point (THz) |
| -0.004 |
| -0.002 |
| -0.002 |
| 2.428 |
| 2.428 |
| 2.953 |
| 2.953 |
| 4.493 |
| 5.376 |
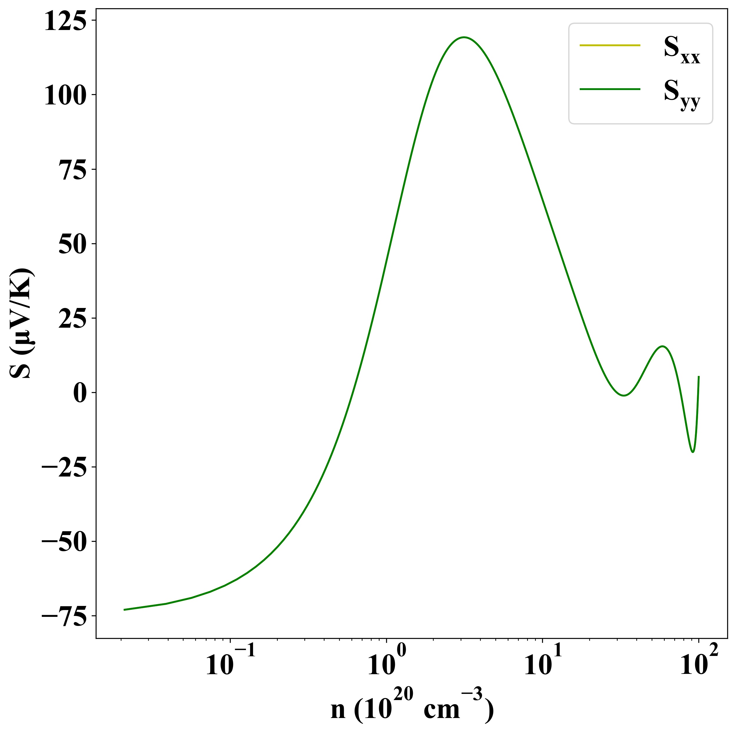
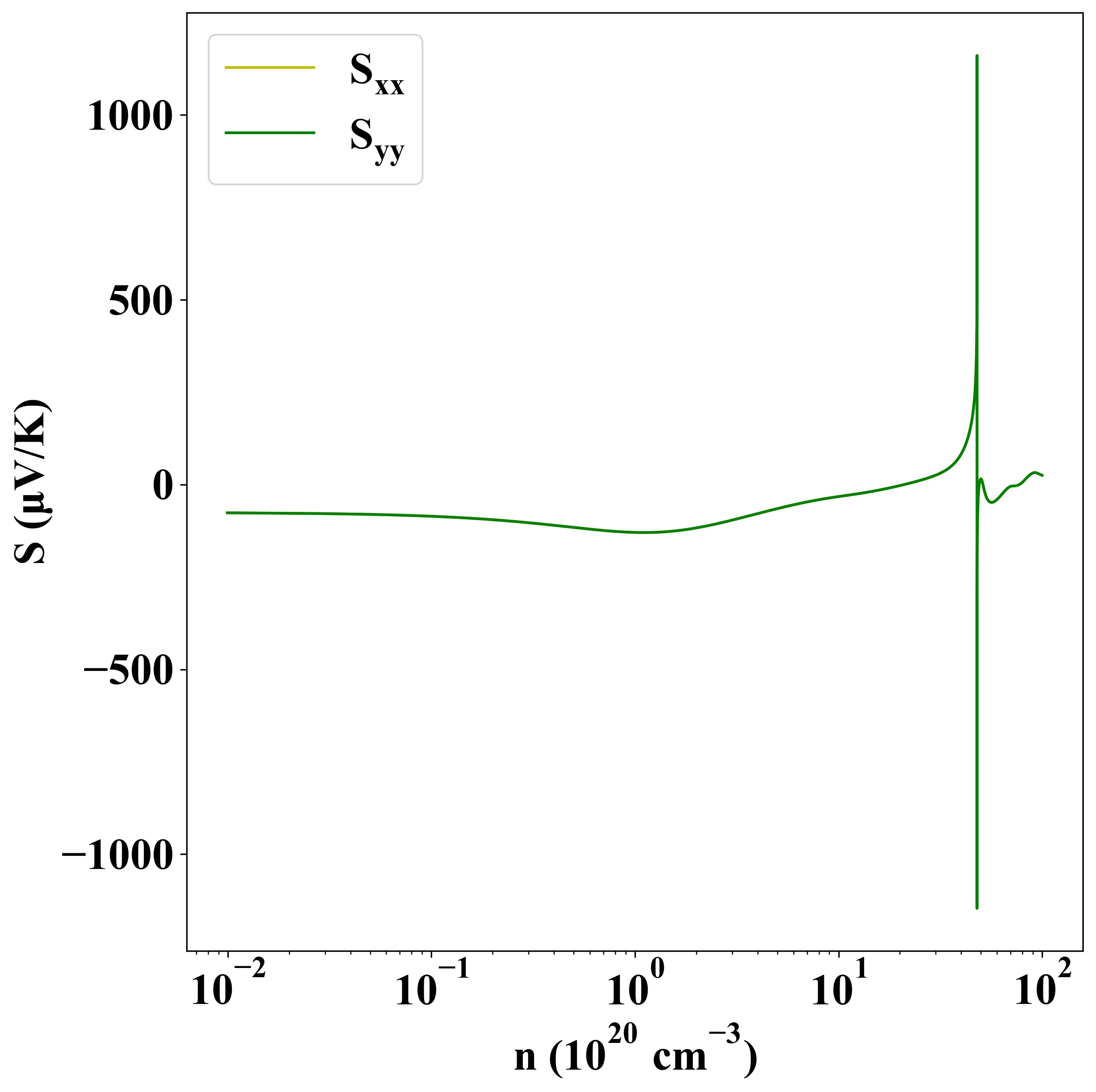
| Carrier type |
C2D (N/m) |
Edef (eV) |
μ (cm2V-1s-1) |
| x |
y |
x |
y |
x |
y |
| hole |
41.26 |
41.75 |
-3.21 |
-5.28 |
-473.24 |
-177.15 |
| electron |
-0.33 |
-3.98 |
58773.28 |
410.11 |
| Property |
Value |
| from where |
c2db-568 |