Pb1Se1
MatHub2d-958-Pb1Se1
| Property |
Value |
| Space group |
(156, 'P3m1') |
| Crystal system |
hexagonal |
| Magnetic |
No |
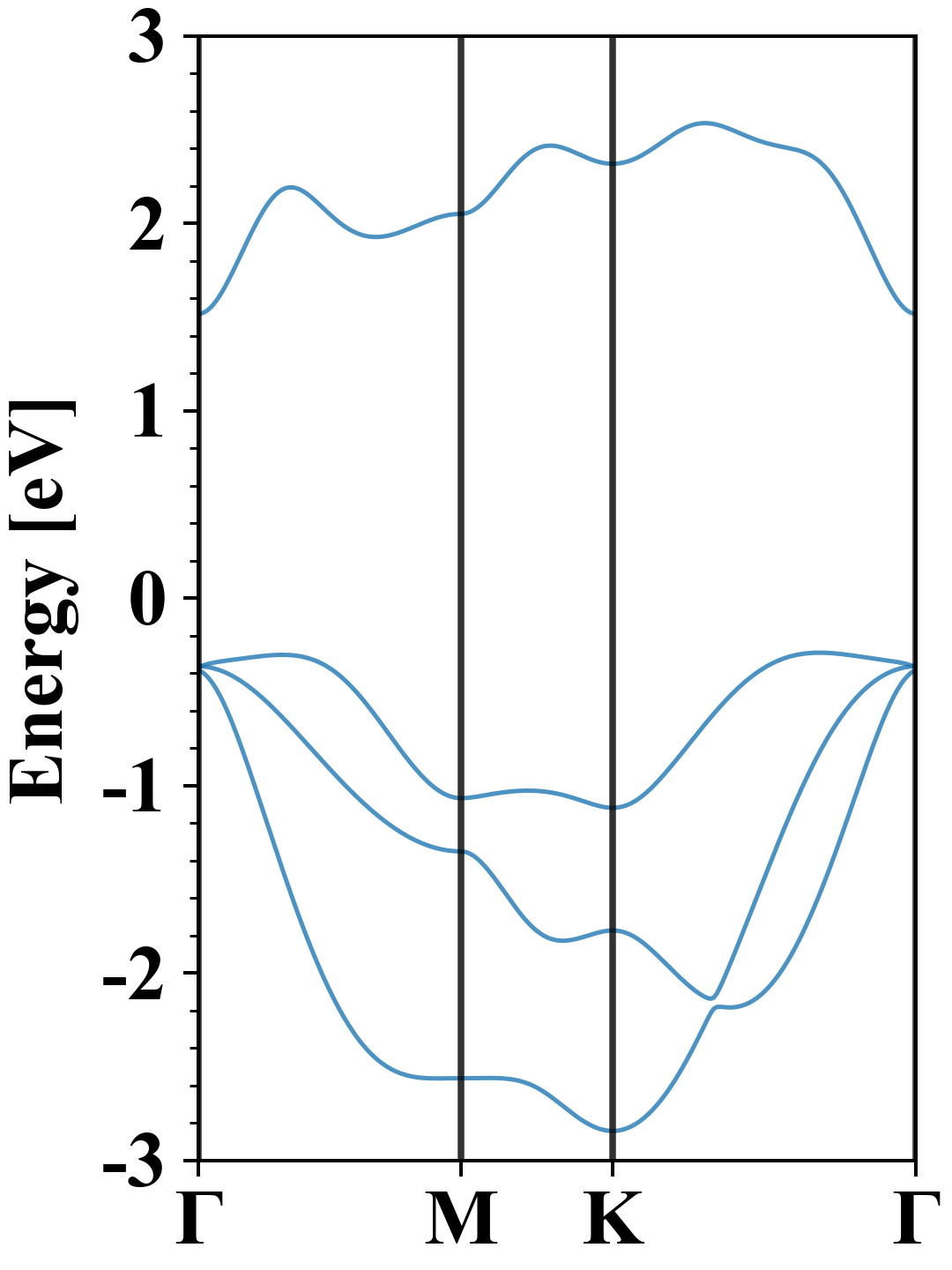
| Band gap (PBE) (eV) |
1.81 |
| Free energy (eV) |
-7.745 |
| Free energy / atom (eV) |
-3.873 |
Lattice Parameters (basic)
| a, b, c (Å): | 4.078 | 4.078 | 30.000 |
| α, β, γ (°): | 90.000 | 90.000 | 120.000 |
Lattice Parameters (computed)
| a, b, c (Å): | 4.085 | 4.085 | 30.000 |
| α, β, γ (°): | 90.000 | 90.000 | 120.000 |
| Property |
Value |
| Band gap |
1.81 eV |
| E-fermi |
-3.889 eV |
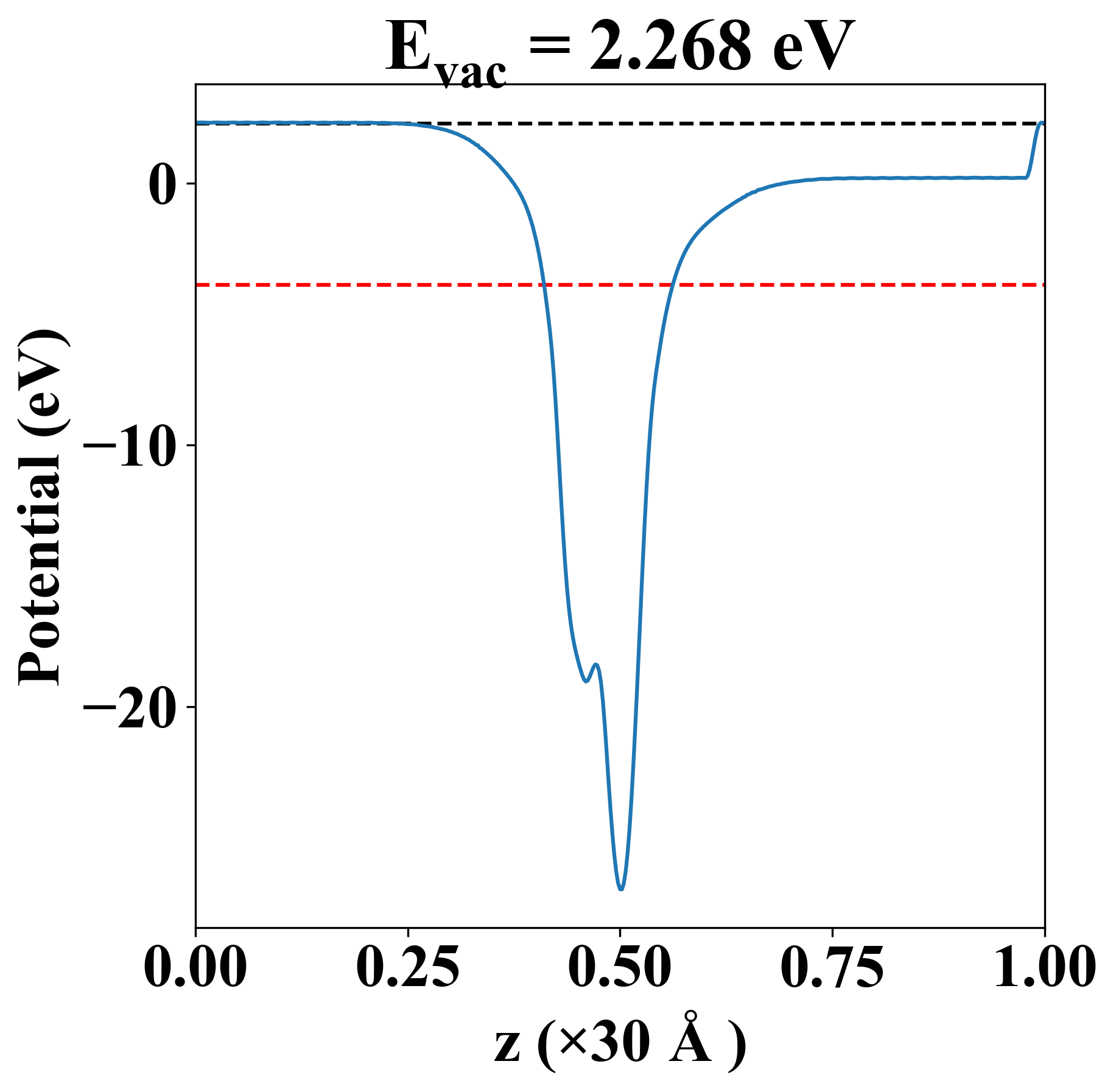
| Vacuum level |
2.268 eV |
| VBM |
-4.181 eV |
| CBM |
-2.373 eV |
| Work function |
6.157 eV |
| Direct gap |
No |
| Property |
Value |
| Band gap |
1.59 eV |
| E-fermi |
-3.765 eV |
| VBM |
-4.023 eV |
| CBM |
-2.430 eV |
| Free energy (eV) |
-8.228 |
| Free energy / atom (eV) |
-4.114 |
| Property |
Value |
| Band gap |
1.81 eV |
| E-fermi |
-3.889 eV |
| Vacuum level |
2.268 eV |
| VBM |
-4.181 eV |
| CBM |
-2.373 eV |
| Work function |
6.157 eV |
| Cij (N/m) |
xx |
yy |
xy |
| xx |
18.815 |
4.929 |
0.000 |
| yy |
4.929 |
18.815 |
-0.000 |
| xy |
0.000 |
-0.000 |
6.943 |
| Phonon mode at Γ point (THz) |
| -0.003 |
| -0.001 |
| -0.001 |
| 3.979 |
| 3.979 |
| 5.575 |
| Property |
Value |
| from where |
c2db-700 |