Pb1S2

MatHub2d-957-Pb1S2

Property Value
Space group (187, 'P-6m2')
Crystal system hexagonal
Magnetic No
Band gap (PBE) (eV) 2.28
Free energy (eV) -12.303
Free energy / atom (eV) -4.101

Lattice Parameters (basic)

a, b, c (Å): 4.727 4.727 30.000
α, β, γ (°): 90.000 90.000 120.000

Lattice Parameters (computed)

a, b, c (Å): 4.731 4.731 30.000
α, β, γ (°): 90.000 90.000 120.000
Pb1S2
Property Value
Band gap 2.28 eV
E-fermi -3.822 eV
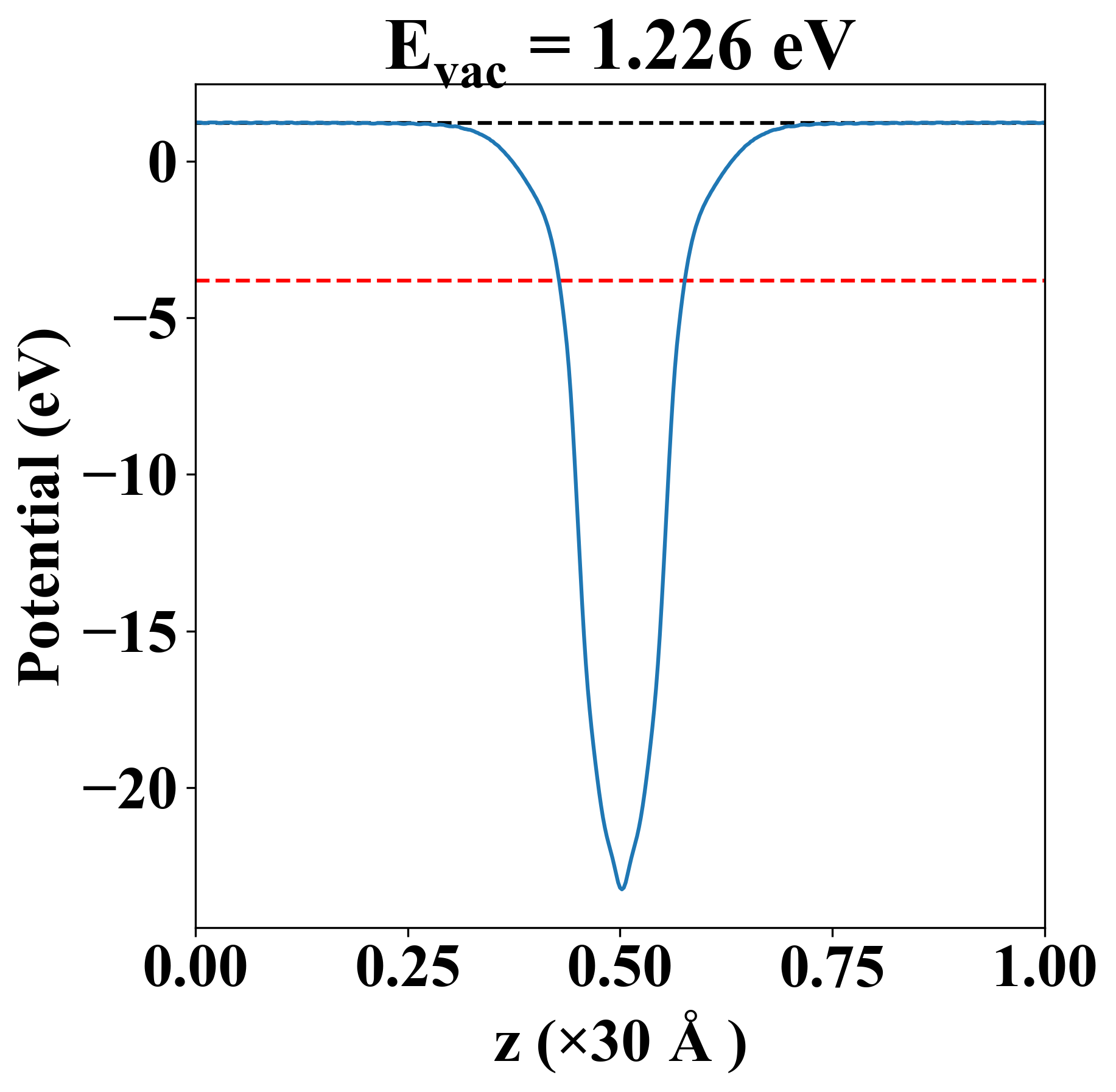
Vacuum level 1.226 eV
VBM -4.115 eV
CBM -1.838 eV
Work function 5.049 eV
Direct gap Yes
Pb1S2
Property Value
Band gap 1.69 eV
E-fermi -3.827 eV
VBM -4.100 eV
CBM -2.413 eV
Free energy (eV) -12.676
Free energy / atom (eV) -4.225
Pb1S2
Property Value
Band gap 2.28 eV
E-fermi -3.822 eV
Vacuum level 1.226 eV
VBM -4.115 eV
CBM -1.838 eV
Work function 5.049 eV
Cij (N/m) xx yy xy
xx 28.287 25.788 -0.000
yy 25.788 28.287 0.000
xy -0.000 0.000 1.250
Phonon mode at Γ point (THz)
-0.006
-0.006
-0.004
3.523
3.919
3.919
4.387
4.387
14.194
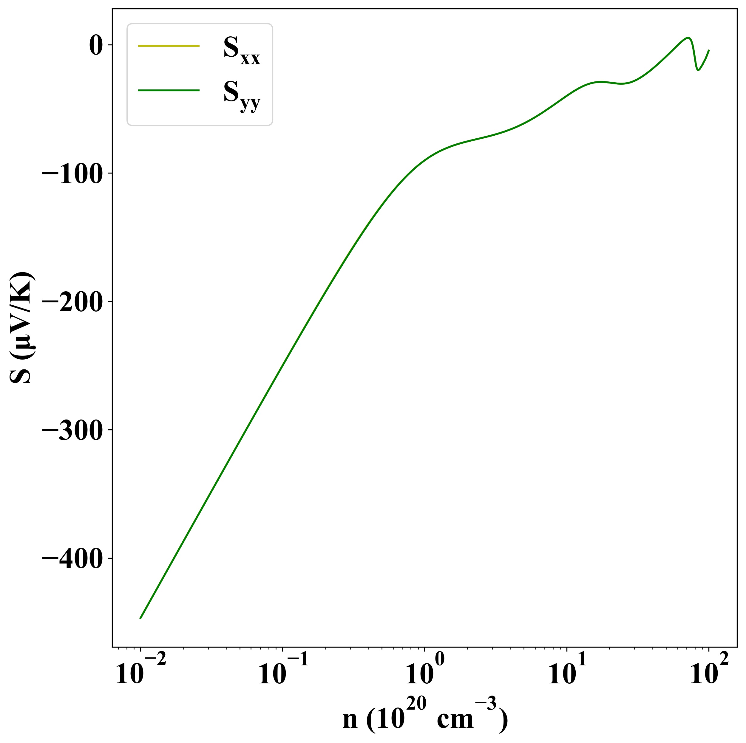
Seebeck
p-type
n-type



Sigma
p-type
n-type
Property Value
from where c2db-567