Pb1S2
MatHub2d-956-Pb1S2
| Property |
Value |
| Space group |
(164, 'P-3m1') |
| Crystal system |
hexagonal |
| Magnetic |
No |
| Band gap (PBE) (eV) |
0.71 |
| Free energy (eV) |
-11.658 |
| Free energy / atom (eV) |
-3.886 |
Lattice Parameters (basic)
| a, b, c (Å): | 3.848 | 3.848 | 30.000 |
| α, β, γ (°): | 90.000 | 90.000 | 120.000 |
Lattice Parameters (computed)
| a, b, c (Å): | 3.852 | 3.852 | 30.000 |
| α, β, γ (°): | 90.000 | 90.000 | 120.000 |
| Property |
Value |
| Band gap |
0.71 eV |
| E-fermi |
-4.498 eV |
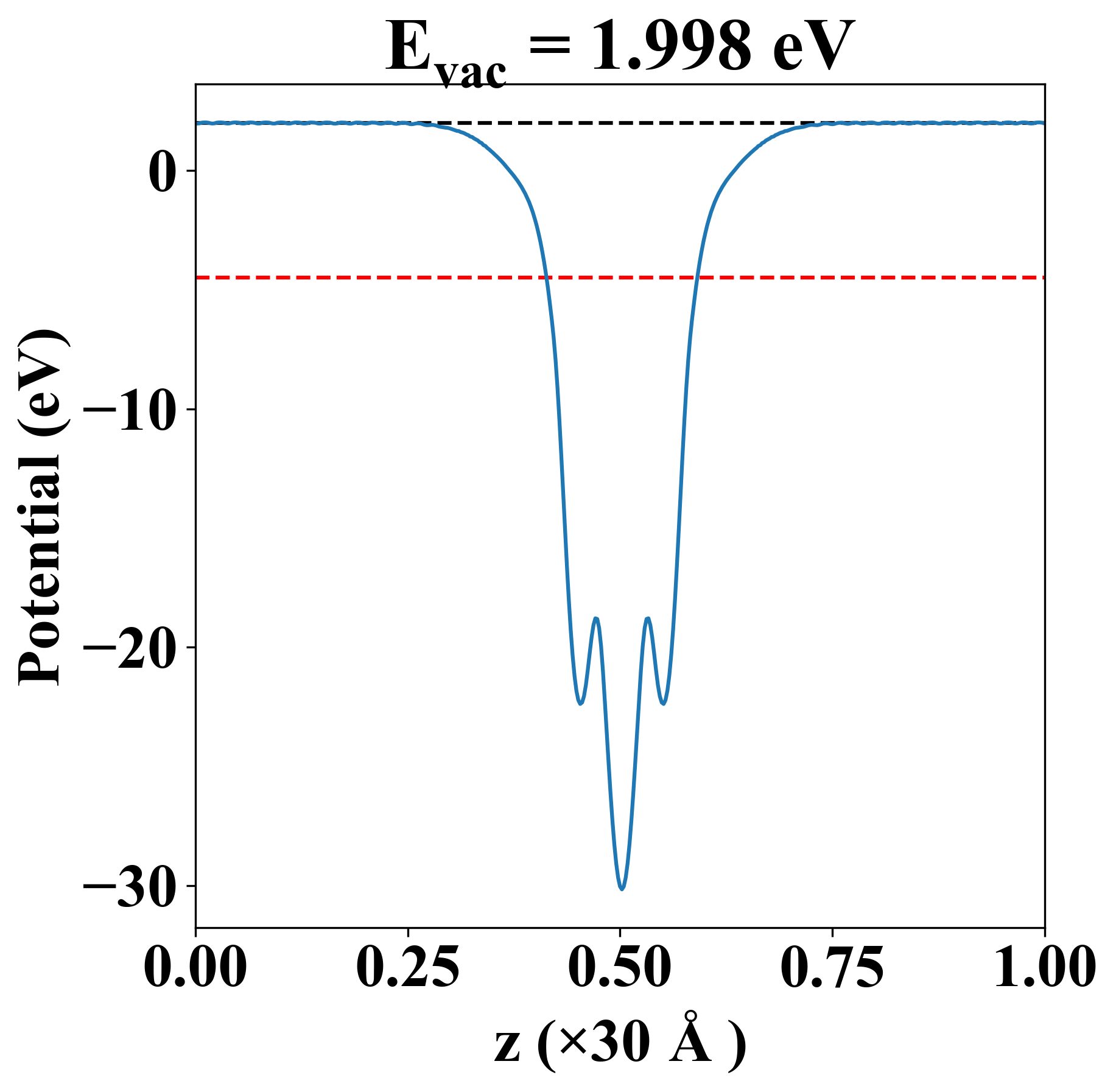
| Vacuum level |
1.998 eV |
| VBM |
-4.727 eV |
| CBM |
-4.012 eV |
| Work function |
6.496 eV |
| Direct gap |
No |
| Property |
Value |
| Band gap |
0.73 eV |
| E-fermi |
-4.495 eV |
| VBM |
-4.729 eV |
| CBM |
-4.002 eV |
| Free energy (eV) |
-12.070 |
| Free energy / atom (eV) |
-4.023 |
| Property |
Value |
| Band gap |
0.71 eV |
| E-fermi |
-4.498 eV |
| Vacuum level |
1.998 eV |
| VBM |
-4.727 eV |
| CBM |
-4.012 eV |
| Work function |
6.496 eV |
| Cij (N/m) |
xx |
yy |
xy |
| xx |
49.440 |
15.691 |
0.000 |
| yy |
15.691 |
49.440 |
0.000 |
| xy |
0.000 |
0.000 |
16.875 |
| Phonon mode at Γ point (THz) |
| -0.007 |
| -0.007 |
| -0.001 |
| 4.283 |
| 4.283 |
| 4.374 |
| 4.374 |
| 7.727 |
| 8.288 |
| Property |
Value |
| from where |
c2db-566 |