Pb1S1
MatHub2d-955-Pb1S1
| Property |
Value |
| Space group |
(156, 'P3m1') |
| Crystal system |
hexagonal |
| Magnetic |
No |
| Band gap (PBE) (eV) |
1.98 |
| Free energy (eV) |
-8.282 |
| Free energy / atom (eV) |
-4.141 |
Lattice Parameters (basic)
| a, b, c (Å): | 3.949 | 3.949 | 30.000 |
| α, β, γ (°): | 90.000 | 90.000 | 120.000 |
Lattice Parameters (computed)
| a, b, c (Å): | 3.949 | 3.949 | 30.000 |
| α, β, γ (°): | 90.000 | 90.000 | 120.000 |
| Property |
Value |
| Band gap |
1.98 eV |
| E-fermi |
-4.161 eV |
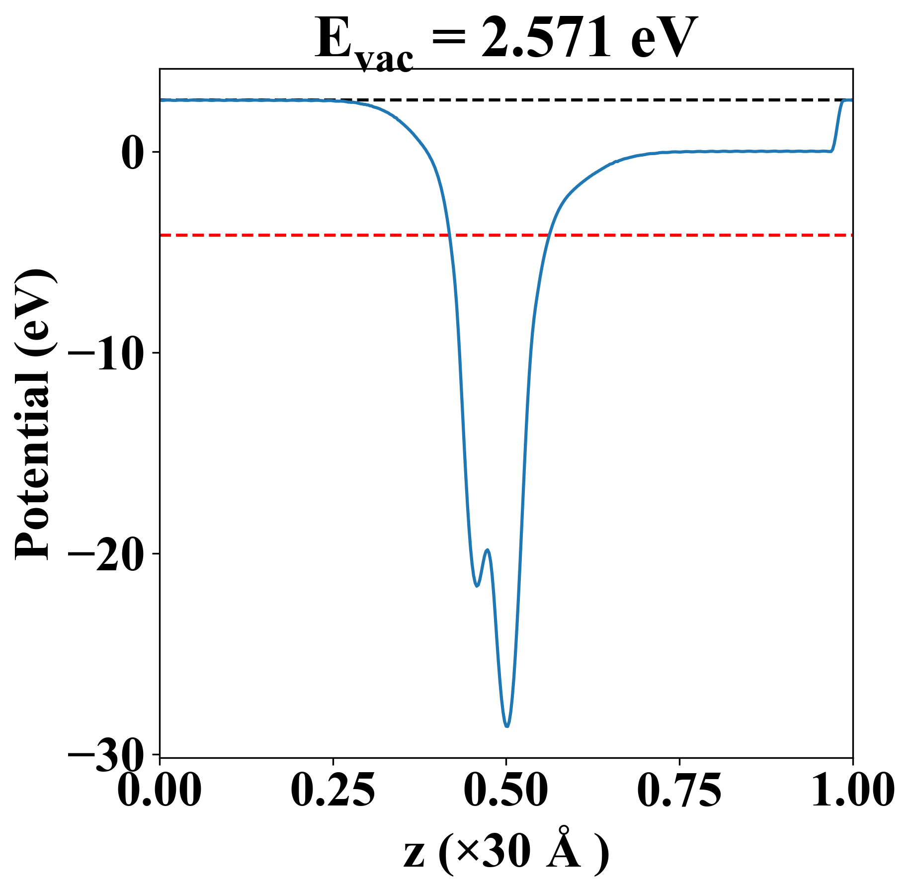
| Vacuum level |
2.571 eV |
| VBM |
-4.385 eV |
| CBM |
-2.408 eV |
| Work function |
6.732 eV |
| Direct gap |
No |
| Property |
Value |
| Band gap |
1.88 eV |
| E-fermi |
-4.009 eV |
| VBM |
-4.300 eV |
| CBM |
-2.415 eV |
| Free energy (eV) |
-8.722 |
| Free energy / atom (eV) |
-4.361 |
| Property |
Value |
| Band gap |
1.98 eV |
| E-fermi |
-4.161 eV |
| Vacuum level |
2.571 eV |
| VBM |
-4.385 eV |
| CBM |
-2.408 eV |
| Work function |
6.732 eV |
| Cij (N/m) |
xx |
yy |
xy |
| xx |
20.182 |
5.384 |
-0.000 |
| yy |
5.384 |
20.182 |
0.000 |
| xy |
-0.000 |
0.000 |
7.399 |
| Phonon mode at Γ point (THz) |
| -0.003 |
| -0.003 |
| -0.001 |
| 5.892 |
| 5.892 |
| 8.275 |
| Property |
Value |
| from where |
c2db-699 |