P2Sn6
MatHub2d-954-P2Sn6
| Property |
Value |
| Space group |
(191, 'P6/mmm') |
| Crystal system |
hexagonal |
| Magnetic |
No |
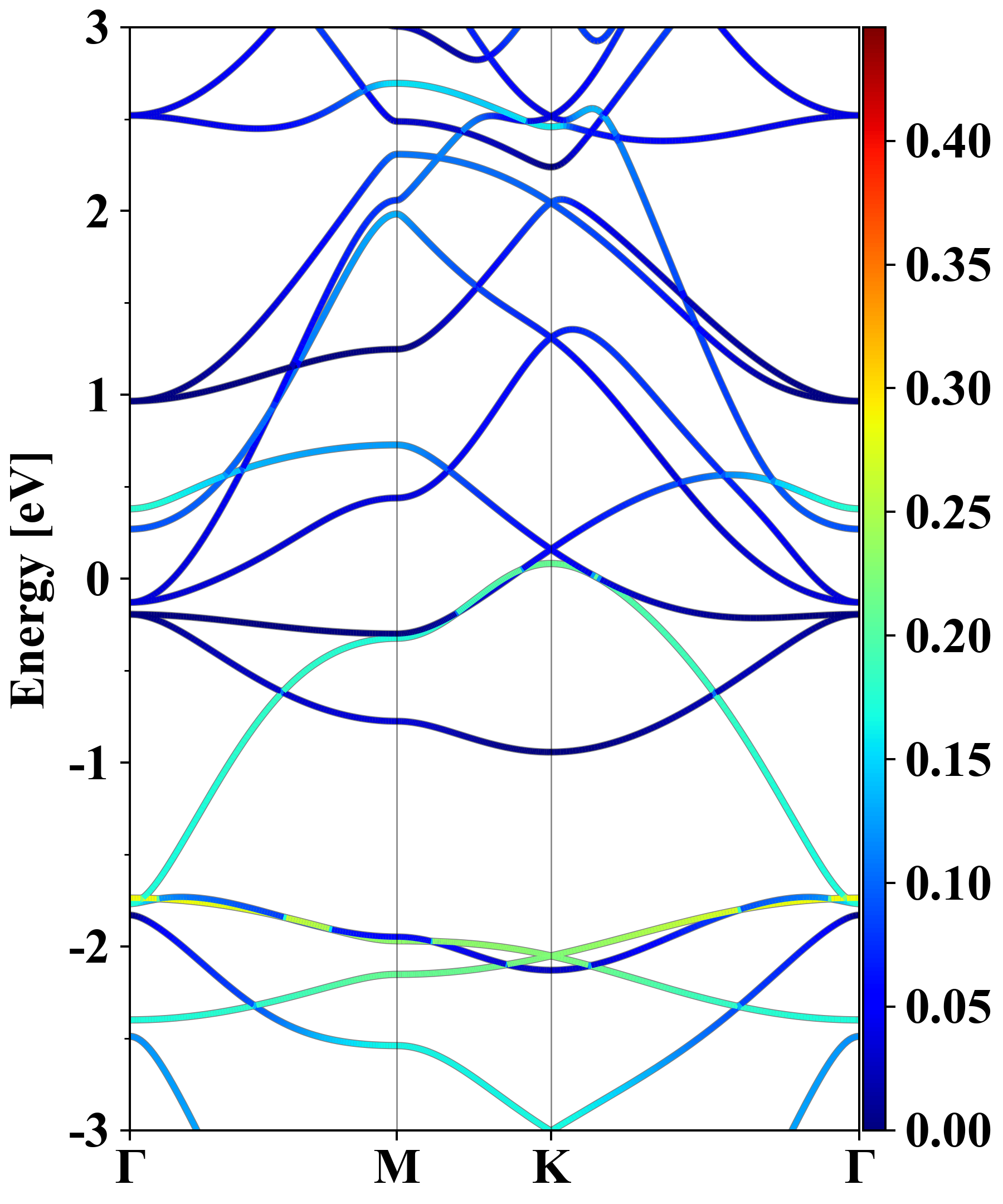
| Band gap (PBE) (eV) |
0.00 |
| Free energy (eV) |
-28.979 |
| Free energy / atom (eV) |
-3.622 |
Lattice Parameters (basic)
| a, b, c (Å): | 9.359 | 9.359 | 30.000 |
| α, β, γ (°): | 90.000 | 90.000 | 120.000 |
Lattice Parameters (computed)
| a, b, c (Å): | 9.313 | 9.313 | 30.000 |
| α, β, γ (°): | 90.000 | 90.000 | 120.000 |
| Property |
Value |
| Band gap |
0.00 eV |
| E-fermi |
-3.332 eV |
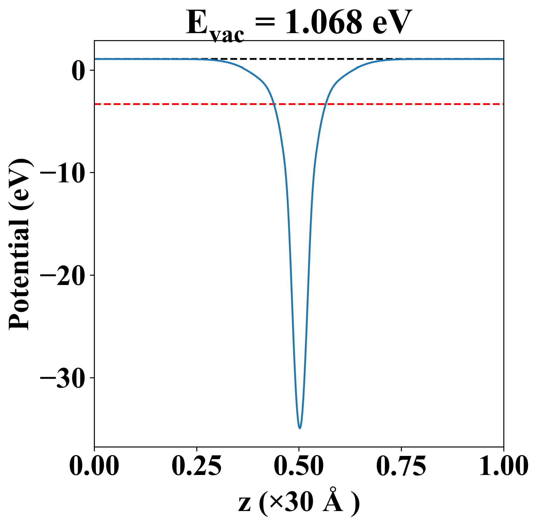
| Vacuum level |
1.068 eV |
| VBM |
-3.333 eV |
| CBM |
-3.332 eV |
| Work function |
4.400 eV |
| Direct gap |
No |
| Property |
Value |
| Band gap |
0.00 eV |
| E-fermi |
-3.332 eV |
| Vacuum level |
1.068 eV |
| VBM |
-3.333 eV |
| CBM |
-3.332 eV |
| Work function |
4.400 eV |
| Cij (N/m) |
xx |
yy |
xy |
| xx |
15.622 |
24.094 |
-0.000 |
| yy |
24.094 |
15.622 |
-0.000 |
| xy |
-0.000 |
-0.000 |
-4.236 |
| Phonon mode at Γ point (THz) |
| -2.728 |
| -2.610 |
| -1.671 |
| -1.671 |
| -1.188 |
| -1.188 |
| -0.005 |
| -0.005 |
| 0.007 |
| 0.408 |
| 0.696 |
| 0.696 |
| 1.033 |
| 3.840 |
| 3.840 |
| 4.138 |
| 4.138 |
| 4.171 |
| 4.644 |
| 4.684 |
| 8.724 |
| 8.724 |
| 9.337 |
| 9.337 |
| Property |
Value |
| from where |
c2db-733 |