P2Sn2
MatHub2d-952-P2Sn2
| Property |
Value |
| Space group |
(164, 'P-3m1') |
| Crystal system |
hexagonal |
| Magnetic |
No |
| Band gap (PBE) (eV) |
1.29 |
| Free energy (eV) |
-18.423 |
| Free energy / atom (eV) |
-4.606 |
Lattice Parameters (basic)
| a, b, c (Å): | 3.961 | 3.961 | 30.000 |
| α, β, γ (°): | 90.000 | 90.000 | 120.000 |
Lattice Parameters (computed)
| a, b, c (Å): | 3.921 | 3.921 | 30.000 |
| α, β, γ (°): | 90.000 | 90.000 | 120.000 |
| Property |
Value |
| Band gap |
1.29 eV |
| E-fermi |
-2.491 eV |
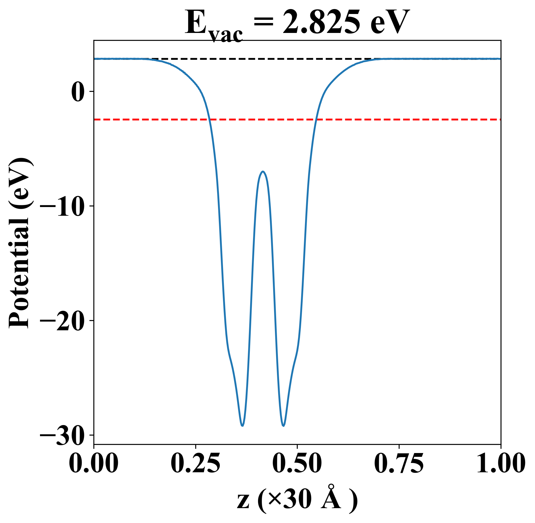
| Vacuum level |
2.825 eV |
| VBM |
-2.790 eV |
| CBM |
-1.496 eV |
| Work function |
5.316 eV |
| Direct gap |
No |
| Property |
Value |
| Band gap |
1.29 eV |
| E-fermi |
-2.539 eV |
| VBM |
-2.798 eV |
| CBM |
-1.504 eV |
| Free energy (eV) |
-18.525 |
| Free energy / atom (eV) |
-4.631 |
| Property |
Value |
| Band gap |
1.29 eV |
| E-fermi |
-2.491 eV |
| Vacuum level |
2.825 eV |
| VBM |
-2.790 eV |
| CBM |
-1.496 eV |
| Work function |
5.316 eV |
| Cij (N/m) |
xx |
yy |
xy |
| xx |
83.403 |
21.357 |
0.000 |
| yy |
21.357 |
83.403 |
-0.000 |
| xy |
0.000 |
-0.000 |
31.023 |
| Phonon mode at Γ point (THz) |
| -0.013 |
| -0.003 |
| -0.003 |
| 1.407 |
| 1.407 |
| 3.911 |
| 8.819 |
| 9.025 |
| 9.248 |
| 9.248 |
| 9.257 |
| 9.257 |
| Property |
Value |
| from where |
sz.tsinghua-92 |