P2Si6
MatHub2d-951-P2Si6
| Property |
Value |
| Space group |
(191, 'P6/mmm') |
| Crystal system |
hexagonal |
| Magnetic |
Yes |
| Band gap (PBE) (eV) |
0.00 |
| Free energy (eV) |
-37.941 |
| Free energy / atom (eV) |
-4.743 |
Lattice Parameters (basic)
| a, b, c (Å): | 7.673 | 7.673 | 30.000 |
| α, β, γ (°): | 90.000 | 90.000 | 120.000 |
Lattice Parameters (computed)
| a, b, c (Å): | 7.669 | 7.669 | 30.000 |
| α, β, γ (°): | 90.000 | 90.000 | 120.000 |
| Property |
Value |
| Band gap |
0.00 eV |
| E-fermi |
-3.337 eV |
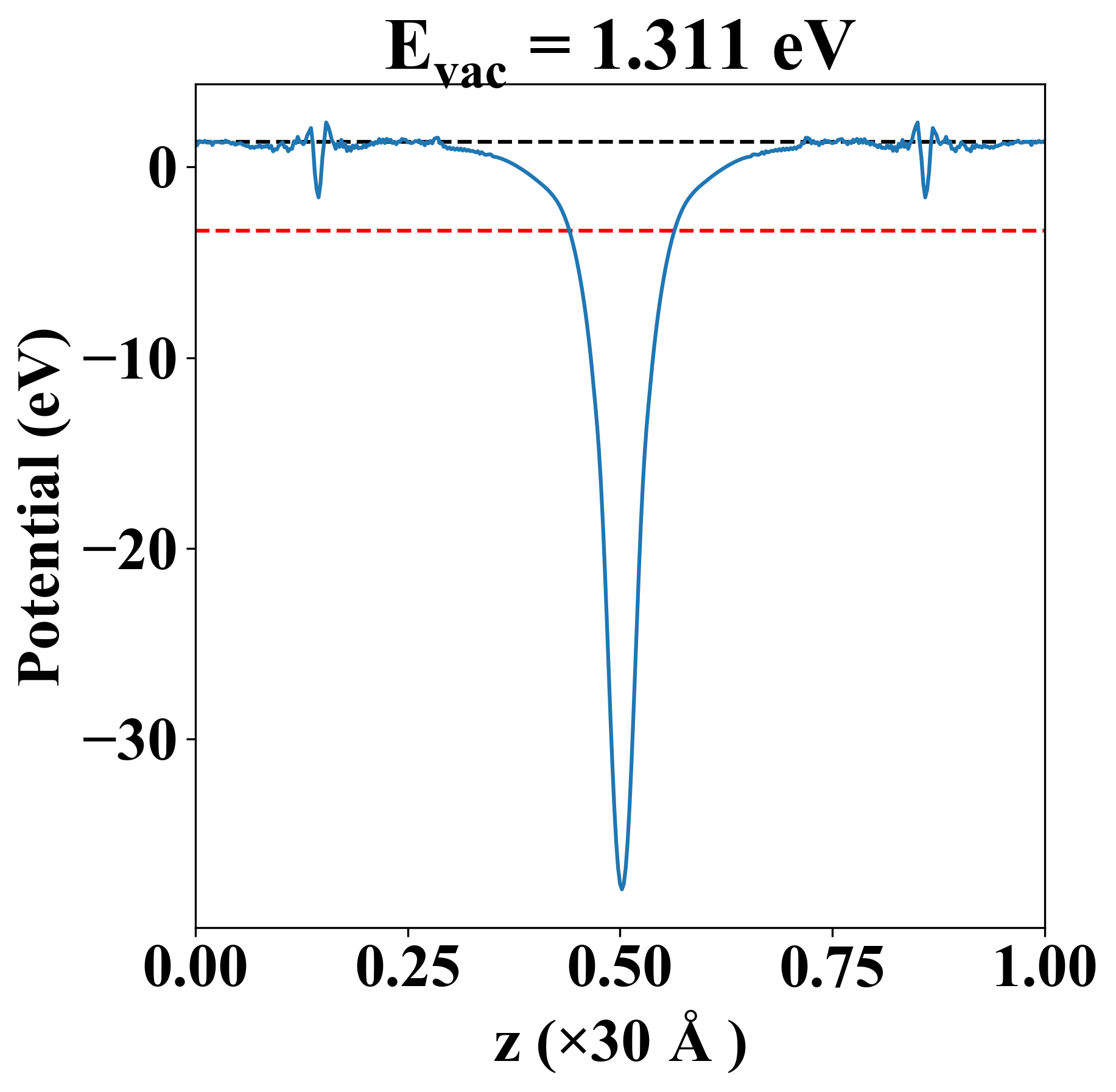
| Vacuum level |
1.311 eV |
| VBM |
-3.338 eV |
| CBM |
-3.335 eV |
| Work function |
4.648 eV |
| Direct gap |
No |
| Property |
Value |
| Band gap |
0.00 eV |
| E-fermi |
-3.337 eV |
| Vacuum level |
1.311 eV |
| VBM |
-3.338 eV |
| CBM |
-3.335 eV |
| Work function |
4.648 eV |
| Cij (N/m) |
xx |
yy |
xy |
| xx |
59.867 |
57.660 |
0.000 |
| yy |
57.660 |
59.867 |
0.000 |
| xy |
0.000 |
0.000 |
1.104 |
| Phonon mode at Γ point (THz) |
| -5.694 |
| -4.841 |
| -3.895 |
| -3.895 |
| -2.913 |
| -0.988 |
| -0.988 |
| -0.003 |
| -0.002 |
| 0.004 |
| 3.054 |
| 3.054 |
| 3.845 |
| 11.529 |
| 12.269 |
| 12.269 |
| 13.228 |
| 13.228 |
| 13.787 |
| 15.658 |
| 15.658 |
| 16.323 |
| 16.323 |
| 16.612 |
| Property |
Value |
| from where |
c2db-725 |