P2Si2
MatHub2d-950-P2Si2
| Property |
Value |
| Space group |
(187, 'P-6m2') |
| Crystal system |
hexagonal |
| Magnetic |
No |
| Band gap (PBE) (eV) |
1.51 |
| Free energy (eV) |
-22.231 |
| Free energy / atom (eV) |
-5.558 |
Lattice Parameters (basic)
| a, b, c (Å): | 3.425 | 3.425 | 30.000 |
| α, β, γ (°): | 90.000 | 90.000 | 120.000 |
Lattice Parameters (computed)
| a, b, c (Å): | 3.529 | 3.529 | 30.000 |
| α, β, γ (°): | 90.000 | 90.000 | 120.000 |
| Property |
Value |
| Band gap |
1.51 eV |
| E-fermi |
-2.979 eV |
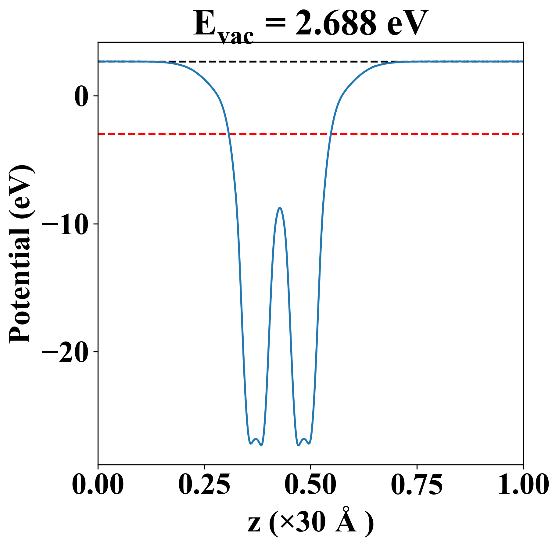
| Vacuum level |
2.688 eV |
| VBM |
-3.241 eV |
| CBM |
-1.727 eV |
| Work function |
5.666 eV |
| Direct gap |
No |
| Property |
Value |
| Band gap |
1.51 eV |
| E-fermi |
-2.966 eV |
| VBM |
-3.246 eV |
| CBM |
-1.733 eV |
| Free energy (eV) |
-22.232 |
| Free energy / atom (eV) |
-5.558 |
| Property |
Value |
| Band gap |
1.51 eV |
| E-fermi |
-2.979 eV |
| Vacuum level |
2.688 eV |
| VBM |
-3.241 eV |
| CBM |
-1.727 eV |
| Work function |
5.666 eV |
| Cij (N/m) |
xx |
yy |
xy |
| xx |
131.390 |
23.902 |
0.000 |
| yy |
23.902 |
131.390 |
-0.000 |
| xy |
0.000 |
-0.000 |
53.744 |
| Phonon mode at Γ point (THz) |
| -0.001 |
| 0.001 |
| 0.001 |
| 3.106 |
| 3.106 |
| 6.866 |
| 13.256 |
| 13.961 |
| 13.961 |
| 14.038 |
| 14.038 |
| 16.030 |
| Carrier type |
C2D (N/m) |
Edef (eV) |
μ (cm2V-1s-1) |
| x |
y |
x |
y |
x |
y |
| hole |
130.59 |
130.90 |
2.85 |
2.35 |
-75.15 |
-110.70 |
| electron |
0.52 |
-6.99 |
28910.18 |
158.41 |
| Property |
Value |
| from where |
sz.tsinghua-84 |