P2Si2
MatHub2d-949-P2Si2
| Property |
Value |
| Space group |
(164, 'P-3m1') |
| Crystal system |
hexagonal |
| Magnetic |
No |
| Band gap (PBE) (eV) |
1.76 |
| Free energy (eV) |
-22.215 |
| Free energy / atom (eV) |
-5.554 |
Lattice Parameters (basic)
| a, b, c (Å): | 3.543 | 3.543 | 30.000 |
| α, β, γ (°): | 90.000 | 90.000 | 120.000 |
Lattice Parameters (computed)
| a, b, c (Å): | 3.543 | 3.543 | 30.000 |
| α, β, γ (°): | 90.000 | 90.000 | 120.000 |
| Property |
Value |
| Band gap |
1.76 eV |
| E-fermi |
-2.989 eV |
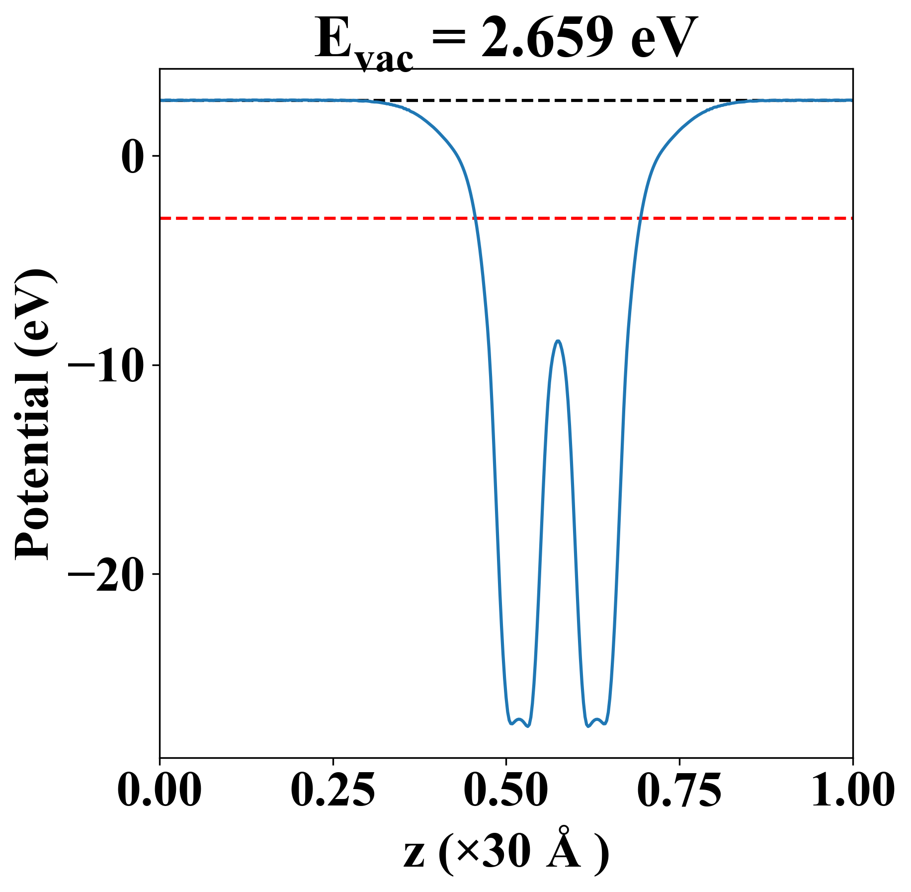
| Vacuum level |
2.659 eV |
| VBM |
-3.201 eV |
| CBM |
-1.444 eV |
| Work function |
5.649 eV |
| Direct gap |
No |
| Property |
Value |
| Band gap |
1.76 eV |
| E-fermi |
-2.979 eV |
| VBM |
-3.204 eV |
| CBM |
-1.447 eV |
| Free energy (eV) |
-22.216 |
| Free energy / atom (eV) |
-5.554 |
| Property |
Value |
| Band gap |
1.76 eV |
| E-fermi |
-2.989 eV |
| Vacuum level |
2.659 eV |
| VBM |
-3.201 eV |
| CBM |
-1.444 eV |
| Work function |
5.649 eV |
| Cij (N/m) |
xx |
yy |
xy |
| xx |
126.377 |
23.054 |
-0.000 |
| yy |
23.054 |
126.377 |
0.000 |
| xy |
-0.000 |
0.000 |
51.661 |
| Phonon mode at Γ point (THz) |
| -0.002 |
| 0.001 |
| 0.001 |
| 3.241 |
| 3.241 |
| 6.710 |
| 13.125 |
| 13.934 |
| 13.934 |
| 13.956 |
| 13.956 |
| 16.330 |
| Property |
Value |
| from where |
sz.tsinghua-85 |