P2Pb6
MatHub2d-948-P2Pb6
| Property |
Value |
| Space group |
(191, 'P6/mmm') |
| Crystal system |
hexagonal |
| Magnetic |
Yes |
| Band gap (PBE) (eV) |
0.00 |
| Free energy (eV) |
-26.959 |
| Free energy / atom (eV) |
-3.370 |
Lattice Parameters (basic)
| a, b, c (Å): | 9.943 | 9.943 | 30.000 |
| α, β, γ (°): | 90.000 | 90.000 | 120.000 |
Lattice Parameters (computed)
| a, b, c (Å): | 9.942 | 9.942 | 30.000 |
| α, β, γ (°): | 90.000 | 90.000 | 120.000 |
| Property |
Value |
| Band gap |
0.00 eV |
| E-fermi |
-3.165 eV |
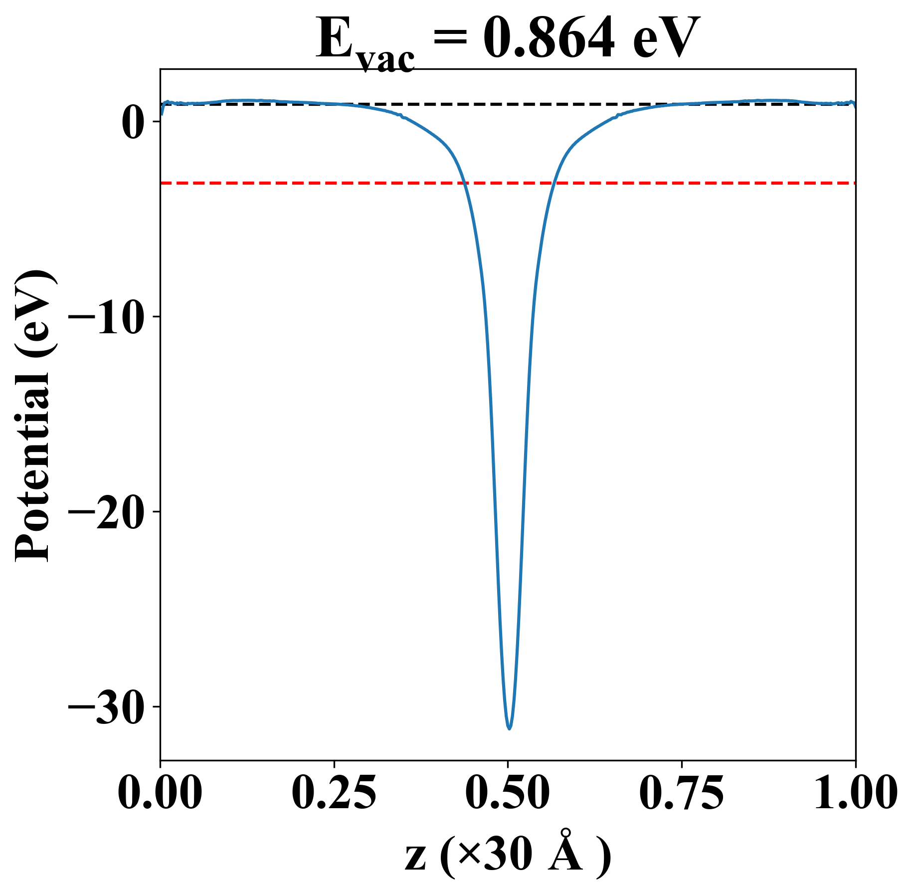
| Vacuum level |
0.864 eV |
| VBM |
-3.165 eV |
| CBM |
-3.164 eV |
| Work function |
4.029 eV |
| Direct gap |
No |
| Property |
Value |
| Band gap |
0.00 eV |
| E-fermi |
-3.165 eV |
| Vacuum level |
0.864 eV |
| VBM |
-3.165 eV |
| CBM |
-3.164 eV |
| Work function |
4.029 eV |
| Cij (N/m) |
xx |
yy |
xy |
| xx |
12.257 |
17.694 |
-0.000 |
| yy |
17.694 |
12.257 |
0.000 |
| xy |
-0.000 |
0.000 |
-2.718 |
| Phonon mode at Γ point (THz) |
| -2.025 |
| -1.149 |
| -0.921 |
| -0.921 |
| -0.435 |
| -0.435 |
| -0.001 |
| -0.001 |
| 0.008 |
| 0.231 |
| 0.231 |
| 0.689 |
| 0.954 |
| 2.133 |
| 2.133 |
| 2.366 |
| 2.366 |
| 2.687 |
| 2.972 |
| 3.280 |
| 8.479 |
| 8.479 |
| 8.516 |
| 8.516 |
| Property |
Value |
| from where |
c2db-728 |