P1Te2Zr2
MatHub2d-947-P1Te2Zr2
| Property |
Value |
| Space group |
(156, 'P3m1') |
| Crystal system |
hexagonal |
| Magnetic |
Yes |
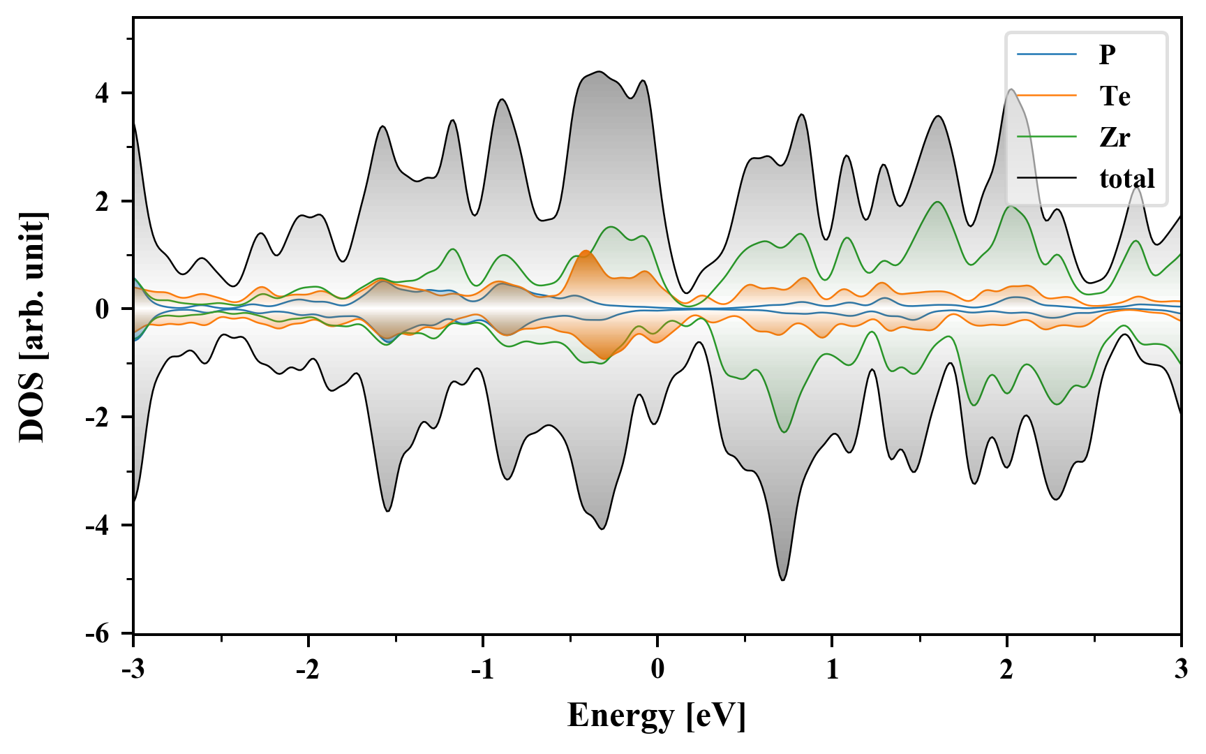
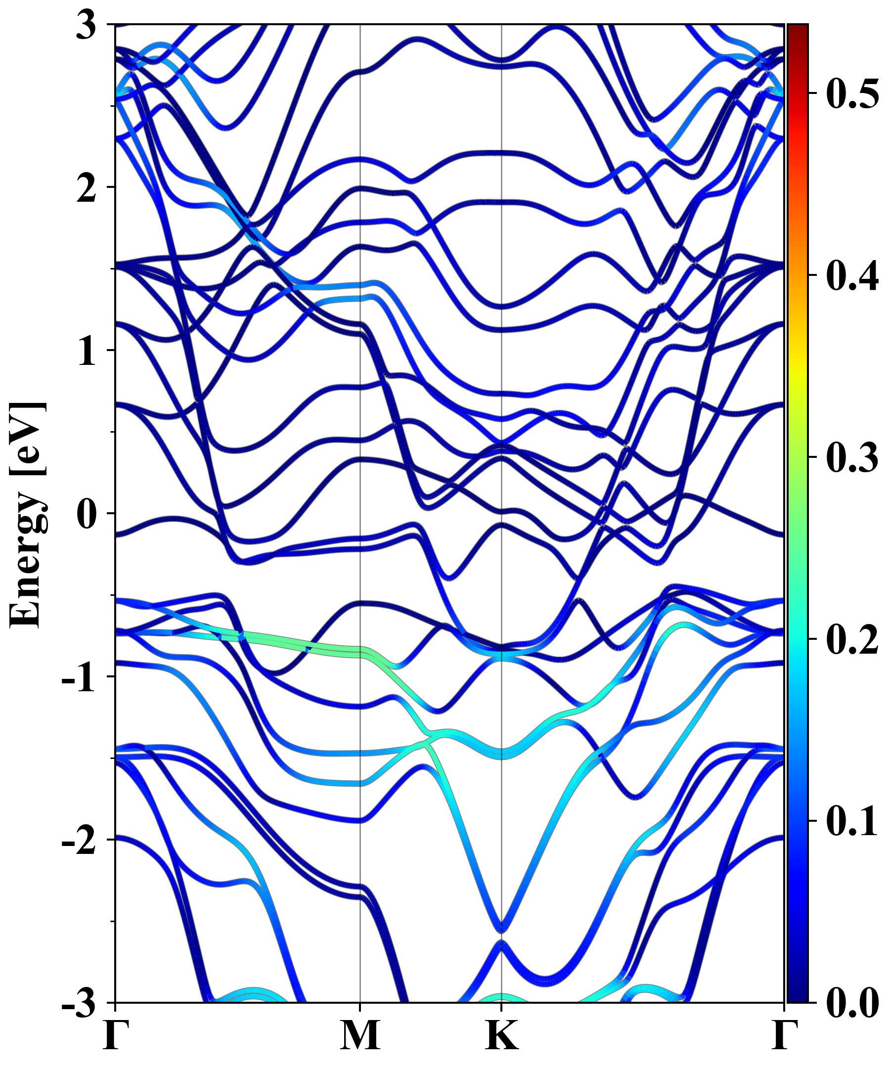
| Band gap (PBE) (eV) |
0.00 |
| Free energy (eV) |
-28.613 |
| Free energy / atom (eV) |
-5.723 |
Lattice Parameters (basic)
| a, b, c (Å): | 3.845 | 3.845 | 30.000 |
| α, β, γ (°): | 90.000 | 90.000 | 120.000 |
Lattice Parameters (computed)
| a, b, c (Å): | 3.548 | 3.548 | 30.000 |
| α, β, γ (°): | 90.000 | 90.000 | 120.000 |
| Property |
Value |
| Band gap |
0.00 eV |
| E-fermi |
0.228 eV |
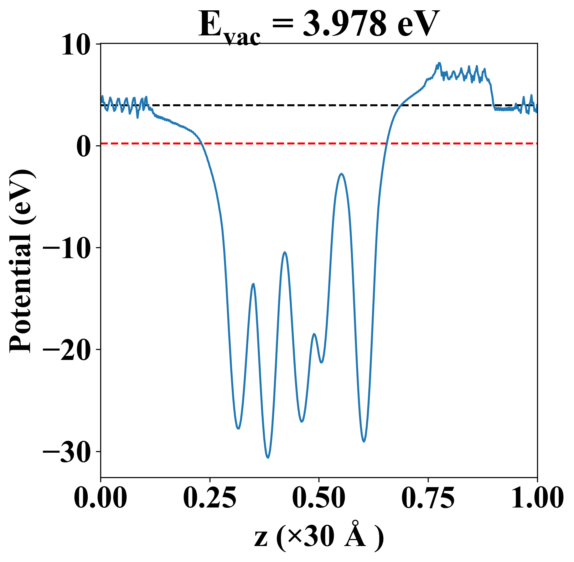
| Vacuum level |
3.978 eV |
| VBM |
0.227 eV |
| CBM |
0.229 eV |
| Work function |
3.750 eV |
| Direct gap |
No |
| Property |
Value |
| Band gap |
0.00 eV |
| E-fermi |
0.228 eV |
| Vacuum level |
3.978 eV |
| VBM |
0.227 eV |
| CBM |
0.229 eV |
| Work function |
3.750 eV |
| Cij (N/m) |
xx |
yy |
xy |
| xx |
90.740 |
27.224 |
0.000 |
| yy |
27.224 |
90.740 |
-0.000 |
| xy |
0.000 |
-0.000 |
31.758 |
| Phonon mode at Γ point (THz) |
| -0.505 |
| -0.505 |
| -0.002 |
| 0.010 |
| 0.010 |
| 1.080 |
| 1.719 |
| 1.719 |
| 3.332 |
| 3.720 |
| 3.720 |
| 5.705 |
| 7.734 |
| 7.734 |
| 9.585 |
| Property |
Value |
| from where |
JVASP-27726 |