Os2Te2
MatHub2d-946-Os2Te2
| Property |
Value |
| Space group |
(187, 'P-6m2') |
| Crystal system |
hexagonal |
| Magnetic |
Yes |
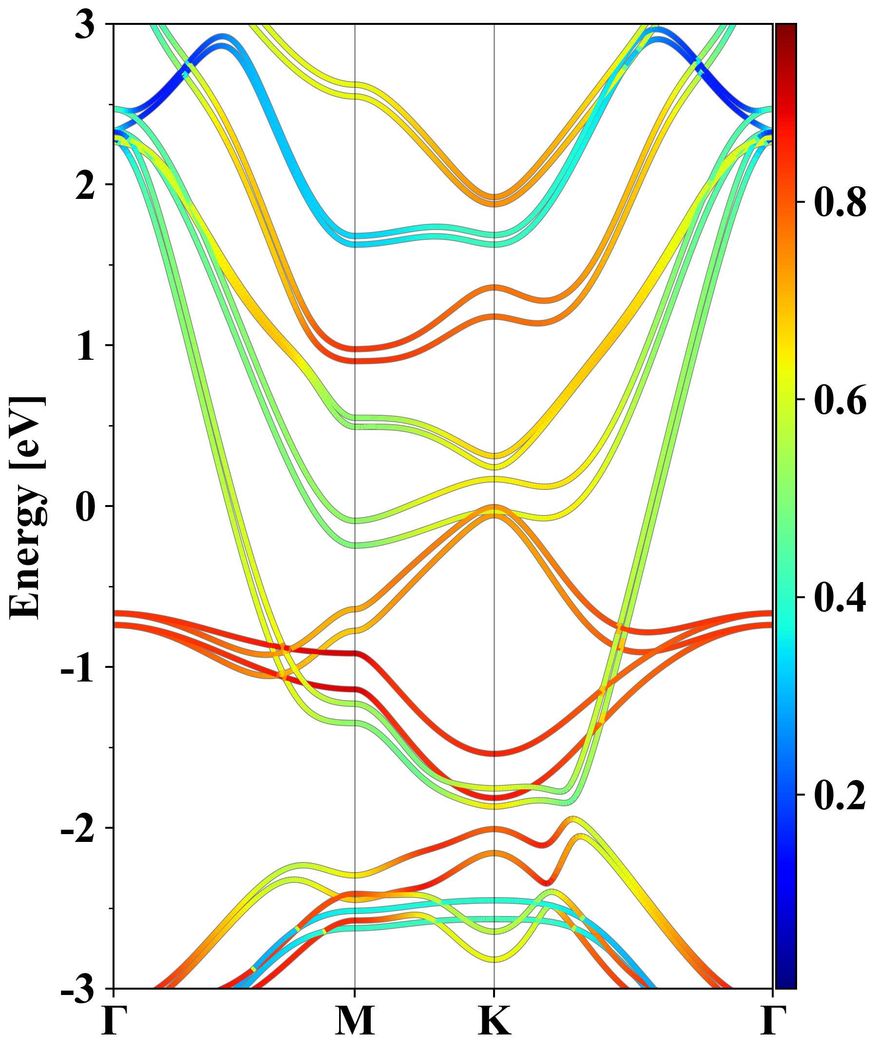
| Band gap (PBE) (eV) |
0.00 |
| Free energy (eV) |
-20.141 |
| Free energy / atom (eV) |
-5.035 |
Lattice Parameters (basic)
| a, b, c (Å): | 4.136 | 4.136 | 30.000 |
| α, β, γ (°): | 90.000 | 90.000 | 120.000 |
Lattice Parameters (computed)
| a, b, c (Å): | 4.136 | 4.136 | 30.000 |
| α, β, γ (°): | 90.000 | 90.000 | 120.000 |
| Property |
Value |
| Band gap |
0.00 eV |
| E-fermi |
-1.884 eV |
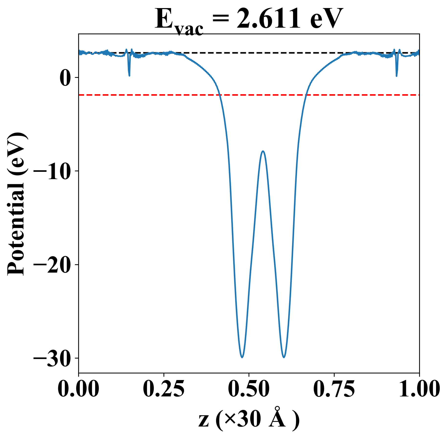
| Vacuum level |
2.611 eV |
| VBM |
-1.885 eV |
| CBM |
-1.883 eV |
| Work function |
4.495 eV |
| Direct gap |
No |
| Property |
Value |
| Band gap |
0.00 eV |
| E-fermi |
-1.884 eV |
| Vacuum level |
2.611 eV |
| VBM |
-1.885 eV |
| CBM |
-1.883 eV |
| Work function |
4.495 eV |
| Cij (N/m) |
xx |
yy |
xy |
| xx |
73.748 |
55.097 |
-0.000 |
| yy |
55.097 |
73.748 |
0.000 |
| xy |
-0.000 |
0.000 |
9.325 |
| Phonon mode at Γ point (THz) |
| -0.001 |
| -0.001 |
| -0.001 |
| 0.855 |
| 0.855 |
| 3.661 |
| 4.656 |
| 6.326 |
| 6.326 |
| 6.451 |
| 6.451 |
| 7.539 |
| Property |
Value |
| from where |
c2db-1669 |