Os2S2
MatHub2d-944-Os2S2
| Property |
Value |
| Space group |
(187, 'P-6m2') |
| Crystal system |
hexagonal |
| Magnetic |
No |
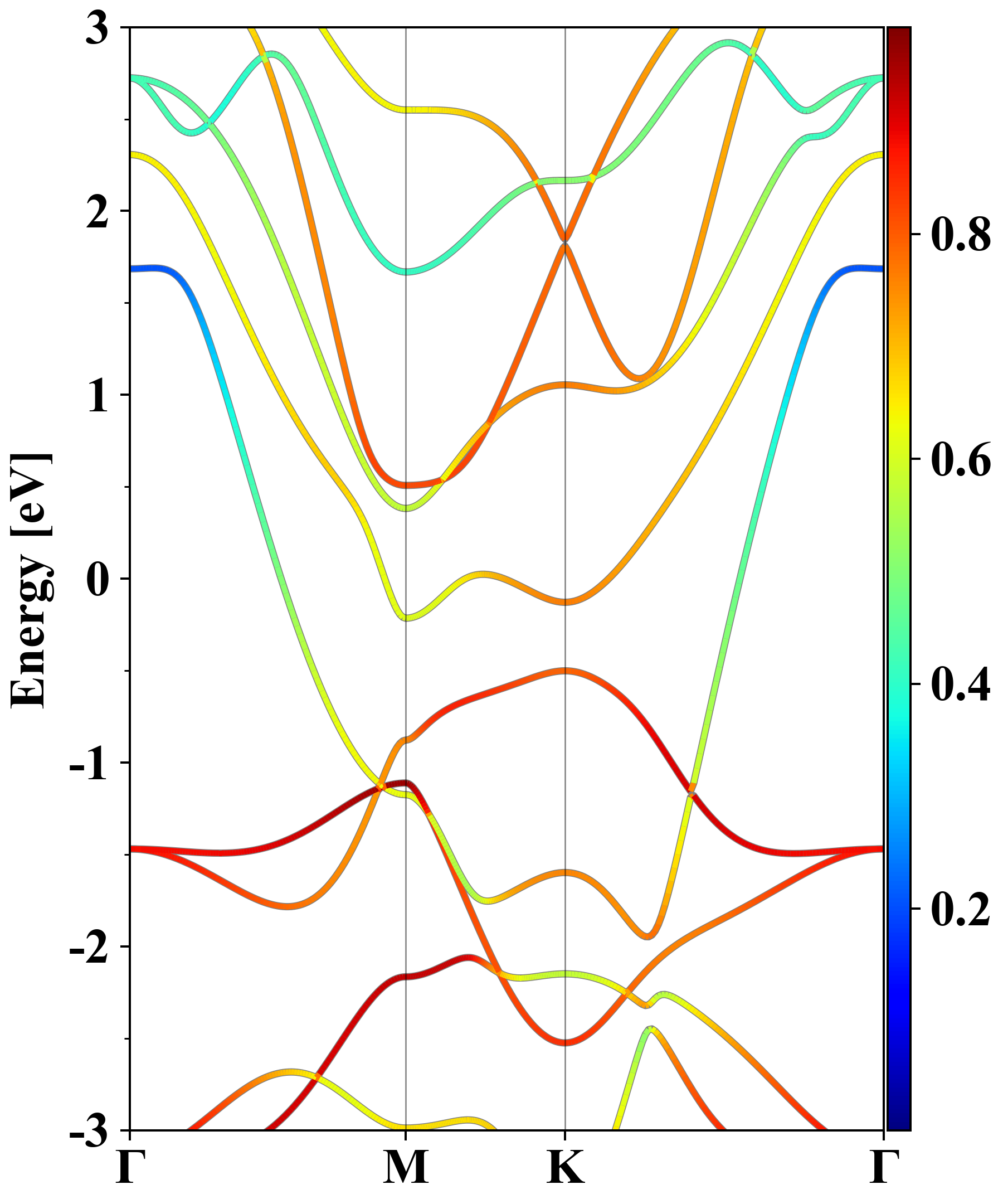
| Band gap (PBE) (eV) |
0.00 |
| Free energy (eV) |
-23.905 |
| Free energy / atom (eV) |
-5.976 |
Lattice Parameters (basic)
| a, b, c (Å): | 3.615 | 3.615 | 30.000 |
| α, β, γ (°): | 90.000 | 90.000 | 120.000 |
Lattice Parameters (computed)
| a, b, c (Å): | 3.551 | 3.551 | 30.000 |
| α, β, γ (°): | 90.000 | 90.000 | 120.000 |
| Property |
Value |
| Band gap |
0.00 eV |
| E-fermi |
-2.090 eV |
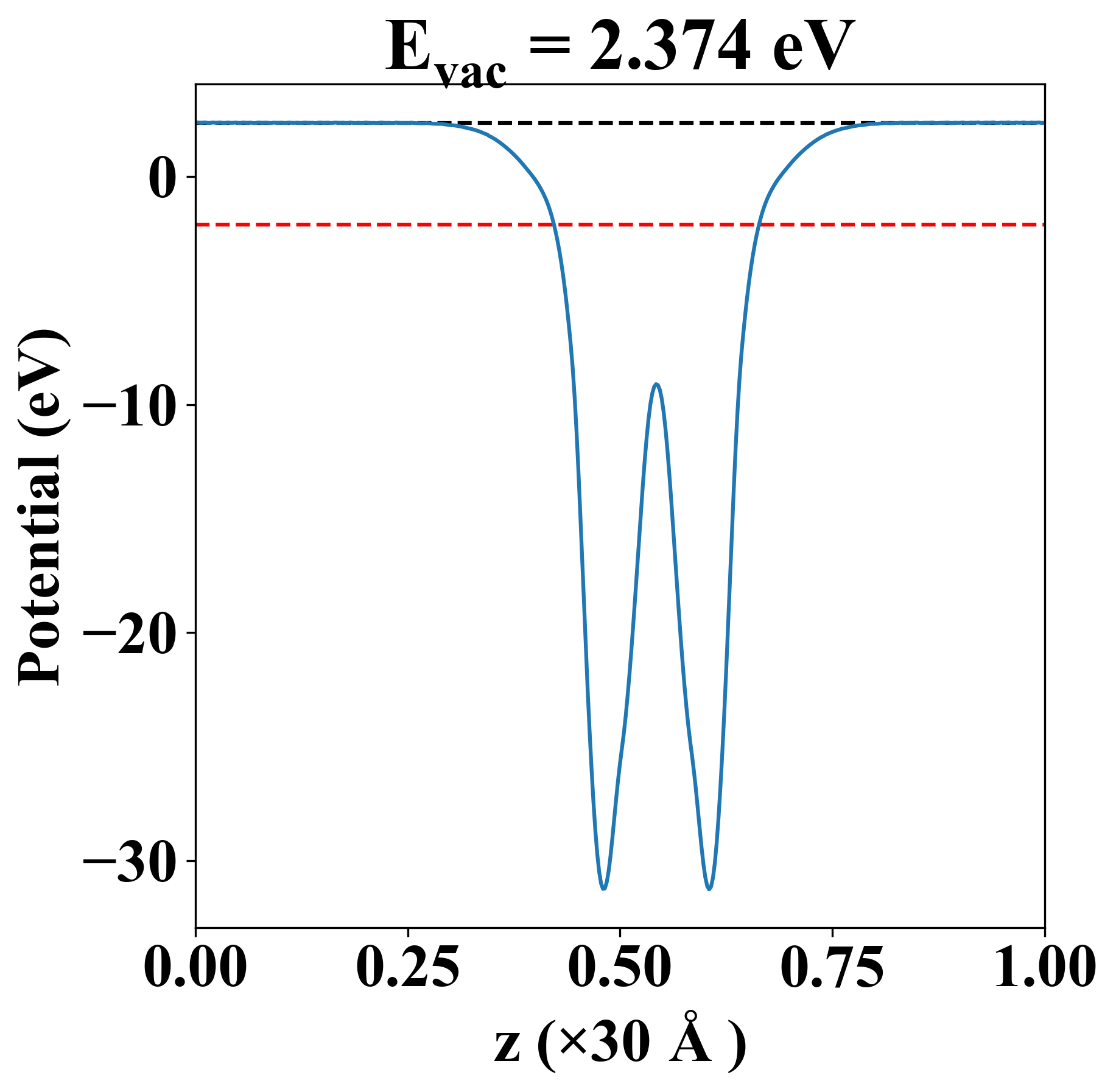
| Vacuum level |
2.374 eV |
| VBM |
-2.090 eV |
| CBM |
-2.090 eV |
| Work function |
4.464 eV |
| Direct gap |
No |
| Property |
Value |
| Band gap |
0.00 eV |
| E-fermi |
-2.090 eV |
| Vacuum level |
2.374 eV |
| VBM |
-2.090 eV |
| CBM |
-2.090 eV |
| Work function |
4.464 eV |
| Cij (N/m) |
xx |
yy |
xy |
| xx |
85.588 |
21.737 |
-0.000 |
| yy |
21.737 |
85.588 |
0.000 |
| xy |
-0.000 |
0.000 |
31.925 |
| Phonon mode at Γ point (THz) |
| 0.001 |
| 0.001 |
| 0.001 |
| 0.632 |
| 0.632 |
| 4.969 |
| 8.882 |
| 9.795 |
| 12.210 |
| 12.210 |
| 12.423 |
| 12.423 |
| Property |
Value |
| from where |
c2db-1667 |