Os1Te2
MatHub2d-943-Os1Te2
| Property |
Value |
| Space group |
(187, 'P-6m2') |
| Crystal system |
hexagonal |
| Magnetic |
Yes |
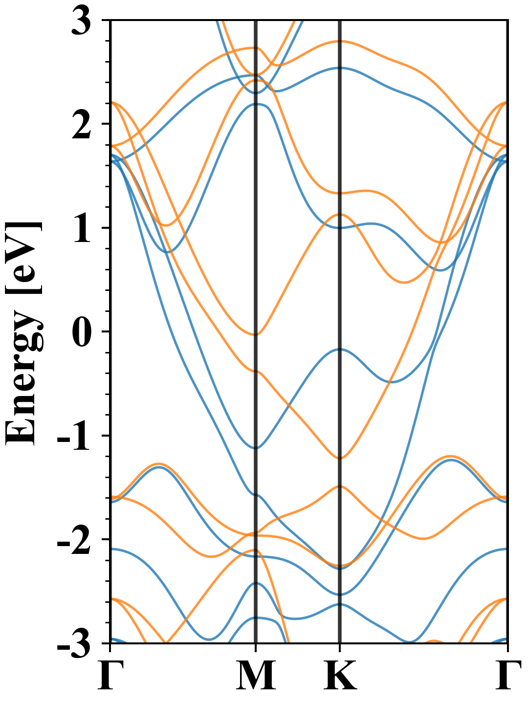
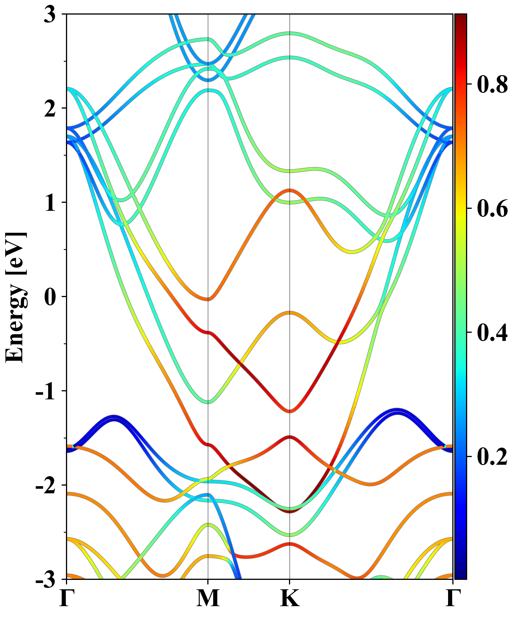
| Band gap (PBE) (eV) |
0.00 |
| Free energy (eV) |
-13.953 |
| Free energy / atom (eV) |
-4.651 |
Lattice Parameters (basic)
| a, b, c (Å): | 3.741 | 3.741 | 30.000 |
| α, β, γ (°): | 90.000 | 90.000 | 120.000 |
Lattice Parameters (computed)
| a, b, c (Å): | 3.734 | 3.734 | 30.000 |
| α, β, γ (°): | 90.000 | 90.000 | 120.000 |
| Property |
Value |
| Band gap |
0.00 eV |
| E-fermi |
-1.711 eV |
| Vacuum level |
2.714 eV |
| VBM |
-1.714 eV |
| CBM |
-1.709 eV |
| Work function |
4.424 eV |
| Direct gap |
No |
| Property |
Value |
| Band gap |
0.00 eV |
| E-fermi |
-1.711 eV |
| Vacuum level |
2.714 eV |
| VBM |
-1.714 eV |
| CBM |
-1.709 eV |
| Work function |
4.424 eV |
| Cij (N/m) |
xx |
yy |
xy |
| xx |
64.895 |
40.889 |
-0.000 |
| yy |
40.889 |
64.895 |
0.000 |
| xy |
-0.000 |
0.000 |
12.003 |
| Phonon mode at Γ point (THz) |
| -0.001 |
| 0.001 |
| 0.001 |
| 3.290 |
| 3.290 |
| 5.124 |
| 5.267 |
| 5.310 |
| 5.310 |
| Property |
Value |
| from where |
c2db-563 |