Os1Te2
MatHub2d-942-Os1Te2
| Property |
Value |
| Space group |
(164, 'P-3m1') |
| Crystal system |
hexagonal |
| Magnetic |
Yes |
| Band gap (PBE) (eV) |
0.00 |
| Free energy (eV) |
-14.000 |
| Free energy / atom (eV) |
-4.667 |
Lattice Parameters (basic)
| a, b, c (Å): | 3.860 | 3.860 | 30.000 |
| α, β, γ (°): | 90.000 | 90.000 | 120.000 |
Lattice Parameters (computed)
| a, b, c (Å): | 3.794 | 3.794 | 30.000 |
| α, β, γ (°): | 90.000 | 90.000 | 120.000 |
| Property |
Value |
| Band gap |
0.00 eV |
| E-fermi |
-2.138 eV |
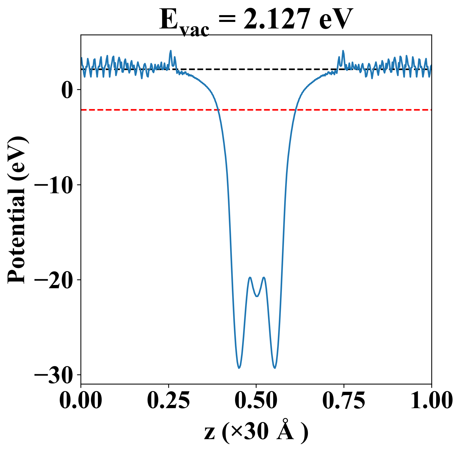
| Vacuum level |
2.127 eV |
| VBM |
-2.138 eV |
| CBM |
-2.136 eV |
| Work function |
4.265 eV |
| Direct gap |
No |
| Property |
Value |
| Band gap |
0.00 eV |
| E-fermi |
-2.138 eV |
| Vacuum level |
2.127 eV |
| VBM |
-2.138 eV |
| CBM |
-2.136 eV |
| Work function |
4.265 eV |
| Cij (N/m) |
xx |
yy |
xy |
| xx |
46.875 |
22.066 |
0.000 |
| yy |
22.066 |
46.875 |
-0.000 |
| xy |
0.000 |
-0.000 |
12.405 |
| Phonon mode at Γ point (THz) |
| -0.003 |
| -0.003 |
| 0.002 |
| 3.404 |
| 3.404 |
| 3.469 |
| 3.469 |
| 3.940 |
| 4.422 |
| Property |
Value |
| from where |
c2db-562 |