Os1Se2
MatHub2d-940-Os1Se2
| Property |
Value |
| Space group |
(164, 'P-3m1') |
| Crystal system |
hexagonal |
| Magnetic |
Yes |
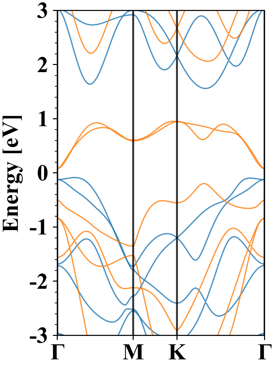
| Band gap (PBE) (eV) |
0.00 |
| Free energy (eV) |
-15.366 |
| Free energy / atom (eV) |
-5.122 |
Lattice Parameters (basic)
| a, b, c (Å): | 3.661 | 3.661 | 30.000 |
| α, β, γ (°): | 90.000 | 90.000 | 120.000 |
Lattice Parameters (computed)
| a, b, c (Å): | 3.554 | 3.554 | 30.000 |
| α, β, γ (°): | 90.000 | 90.000 | 120.000 |
| Property |
Value |
| Band gap |
0.00 eV |
| E-fermi |
-3.270 eV |
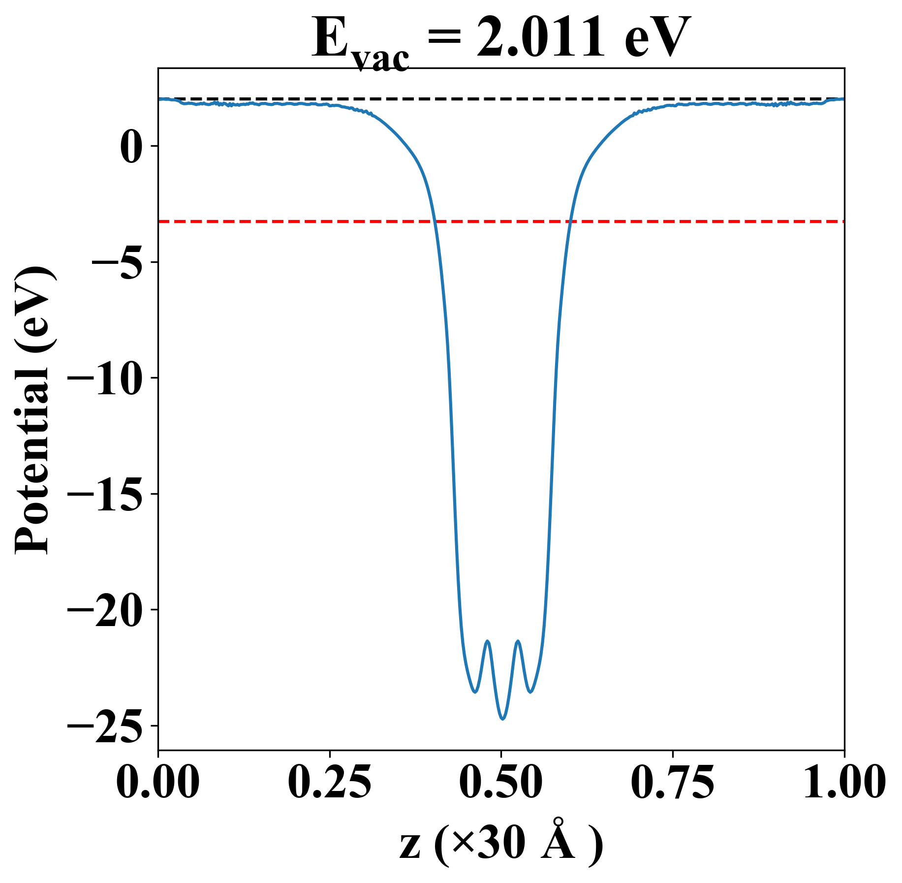
| Vacuum level |
2.011 eV |
| VBM |
-3.357 eV |
| CBM |
-3.190 eV |
| Work function |
5.281 eV |
| Direct gap |
No |
| Property |
Value |
| Band gap |
0.25 eV |
| E-fermi |
-3.195 eV |
| VBM |
-3.321 eV |
| CBM |
-3.067 eV |
| Free energy (eV) |
-15.852 |
| Free energy / atom (eV) |
-5.284 |
| Property |
Value |
| Band gap |
0.00 eV |
| E-fermi |
-3.270 eV |
| Vacuum level |
2.011 eV |
| VBM |
-3.357 eV |
| CBM |
-3.190 eV |
| Work function |
5.281 eV |
| Cij (N/m) |
xx |
yy |
xy |
| xx |
9.483 |
27.307 |
-0.000 |
| yy |
27.307 |
9.483 |
0.000 |
| xy |
-0.000 |
0.000 |
-8.912 |
| Phonon mode at Γ point (THz) |
| -0.002 |
| -0.002 |
| -0.001 |
| 4.138 |
| 4.138 |
| 4.212 |
| 4.212 |
| 4.728 |
| 5.369 |
| Property |
Value |
| from where |
c2db-560 |