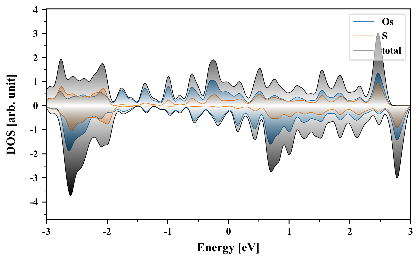
Os1S2
MatHub2d-939-Os1S2
| Property |
Value |
| Space group |
(187, 'P-6m2') |
| Crystal system |
hexagonal |
| Magnetic |
Yes |
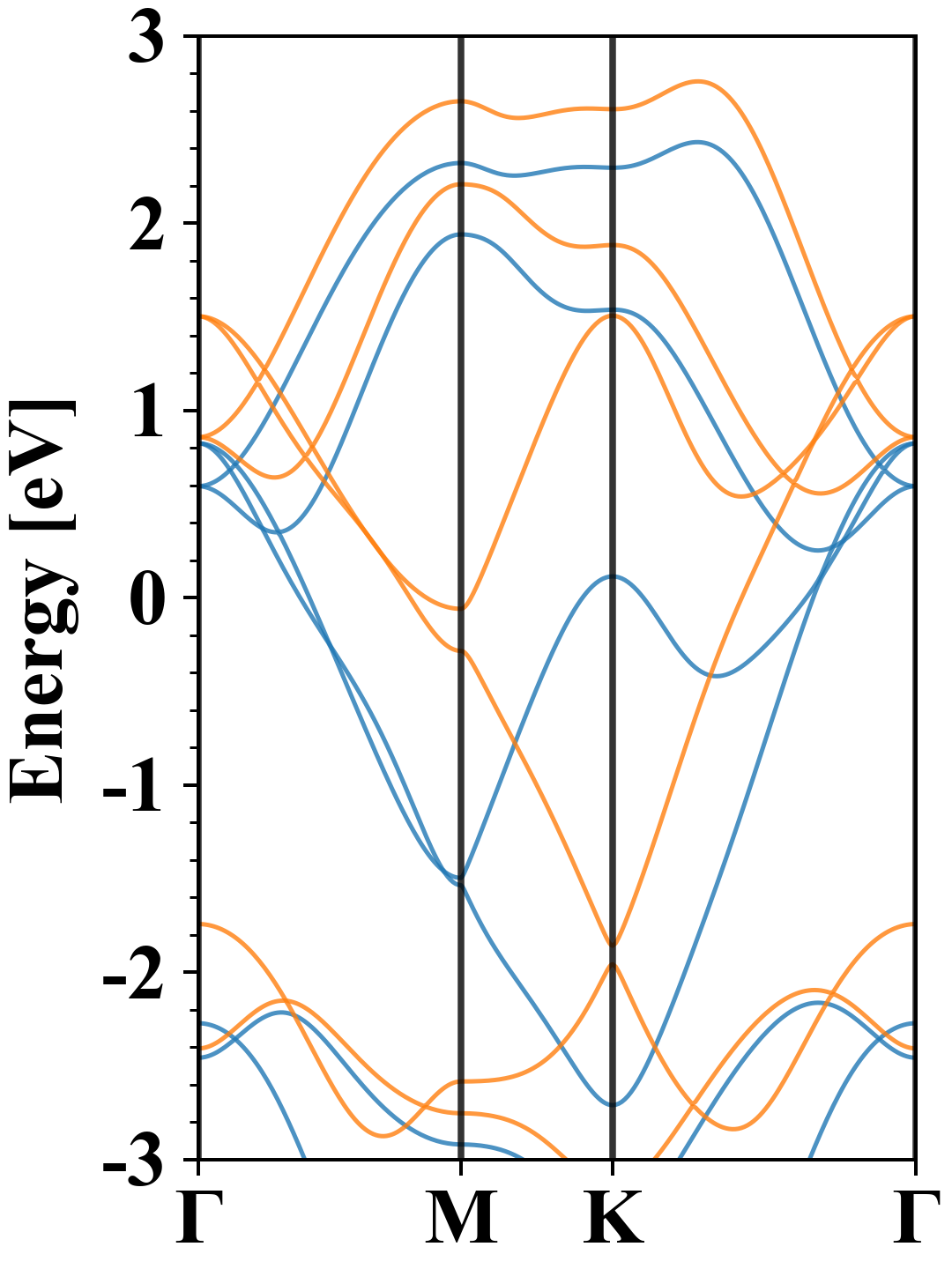
| Band gap (PBE) (eV) |
0.00 |
| Free energy (eV) |
-16.408 |
| Free energy / atom (eV) |
-5.469 |
Lattice Parameters (basic)
| a, b, c (Å): | 3.365 | 3.365 | 30.000 |
| α, β, γ (°): | 90.000 | 90.000 | 120.000 |
Lattice Parameters (computed)
| a, b, c (Å): | 3.345 | 3.345 | 30.000 |
| α, β, γ (°): | 90.000 | 90.000 | 120.000 |
| Property |
Value |
| Band gap |
0.00 eV |
| E-fermi |
-2.516 eV |
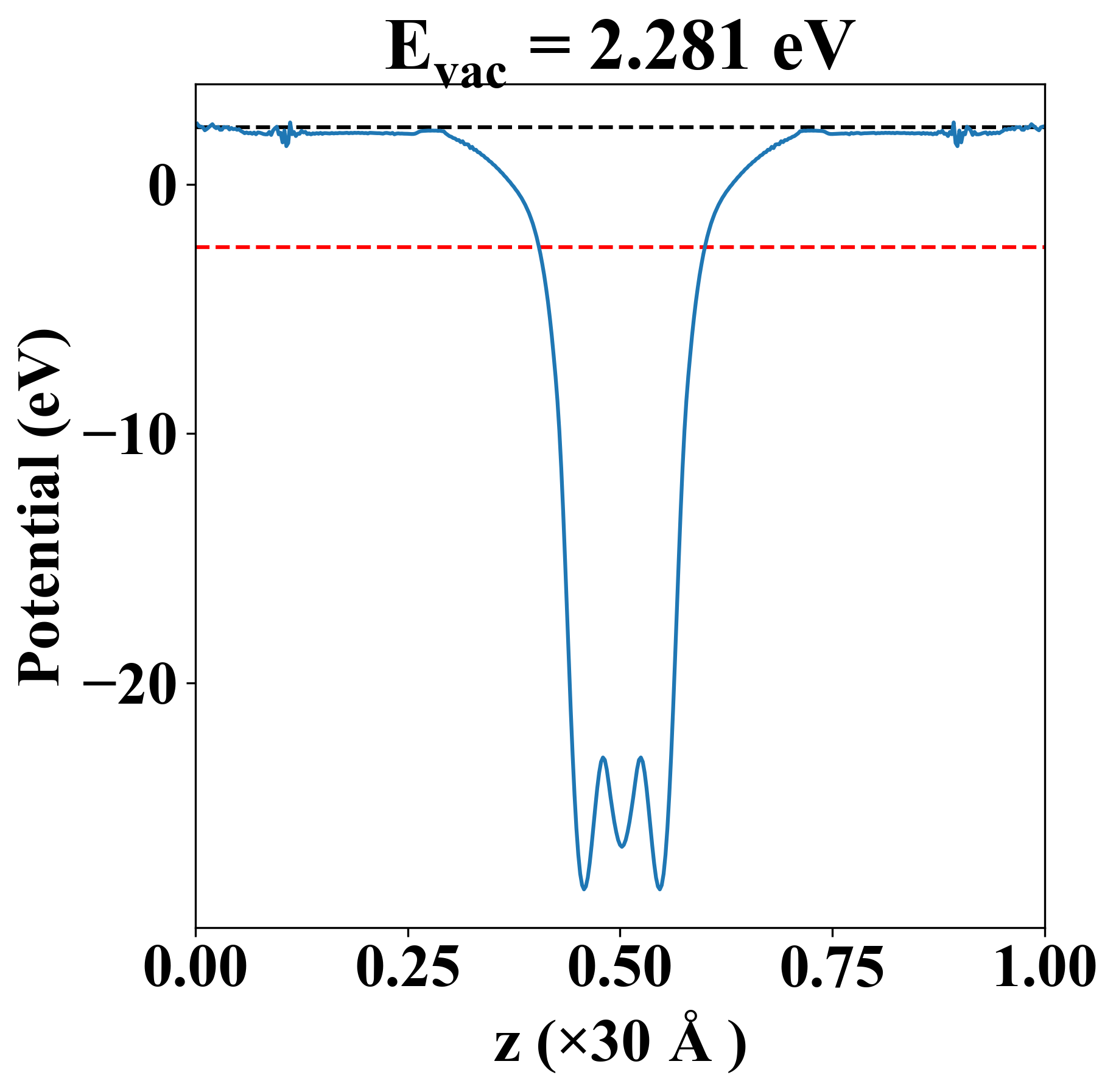
| Vacuum level |
2.281 eV |
| VBM |
-2.516 eV |
| CBM |
-2.516 eV |
| Work function |
4.798 eV |
| Direct gap |
No |
| Property |
Value |
| Band gap |
0.00 eV |
| E-fermi |
-2.516 eV |
| Vacuum level |
2.281 eV |
| VBM |
-2.516 eV |
| CBM |
-2.516 eV |
| Work function |
4.798 eV |
| Cij (N/m) |
xx |
yy |
xy |
| xx |
86.290 |
66.617 |
0.000 |
| yy |
66.617 |
86.290 |
-0.000 |
| xy |
0.000 |
-0.000 |
9.836 |
| Phonon mode at Γ point (THz) |
| -0.007 |
| -0.007 |
| -0.003 |
| 6.110 |
| 6.110 |
| 6.553 |
| 8.373 |
| 8.373 |
| 11.258 |
| Property |
Value |
| from where |
c2db-559 |