Os1S2
MatHub2d-938-Os1S2
| Property |
Value |
| Space group |
(164, 'P-3m1') |
| Crystal system |
hexagonal |
| Magnetic |
Yes |
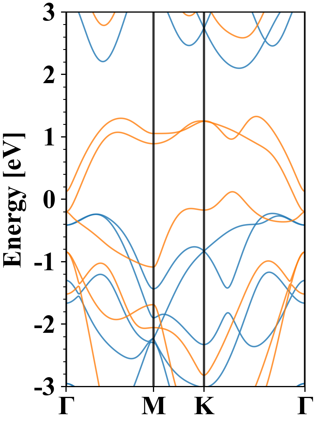
| Band gap (PBE) (eV) |
0.00 |
| Free energy (eV) |
-16.925 |
| Free energy / atom (eV) |
-5.642 |
Lattice Parameters (basic)
| a, b, c (Å): | 3.511 | 3.511 | 30.000 |
| α, β, γ (°): | 90.000 | 90.000 | 120.000 |
Lattice Parameters (computed)
| a, b, c (Å): | 3.404 | 3.404 | 30.000 |
| α, β, γ (°): | 90.000 | 90.000 | 120.000 |
| Property |
Value |
| Band gap |
0.00 eV |
| E-fermi |
-3.804 eV |
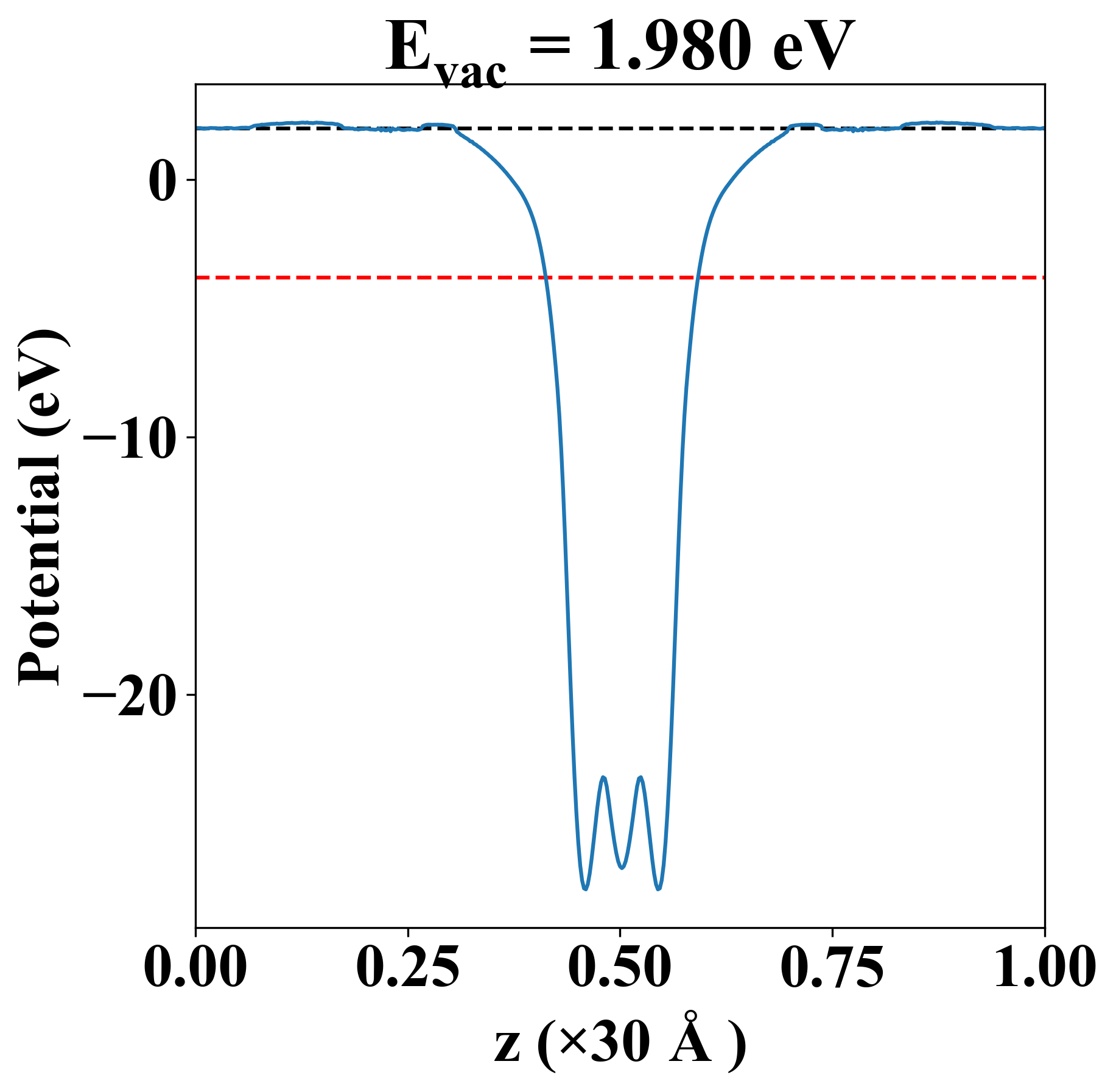
| Vacuum level |
1.980 eV |
| VBM |
-3.805 eV |
| CBM |
-3.798 eV |
| Work function |
5.784 eV |
| Direct gap |
No |
| Property |
Value |
| Band gap |
0.00 eV |
| E-fermi |
-3.804 eV |
| Vacuum level |
1.980 eV |
| VBM |
-3.805 eV |
| CBM |
-3.798 eV |
| Work function |
5.784 eV |
| Cij (N/m) |
xx |
yy |
xy |
| xx |
-2.316 |
41.993 |
-0.000 |
| yy |
41.993 |
-2.316 |
0.000 |
| xy |
-0.000 |
0.000 |
-22.155 |
| Phonon mode at Γ point (THz) |
| -0.004 |
| -0.003 |
| -0.003 |
| 6.589 |
| 6.842 |
| 6.842 |
| 7.277 |
| 7.277 |
| 8.740 |
| Property |
Value |
| from where |
c2db-557 |