O6Sb2Tl2

MatHub2d-937-O6Sb2Tl2

Property Value
Space group (162, 'P-31m')
Crystal system hexagonal
Magnetic No
Band gap (PBE) (eV) 2.74
Free energy (eV) -55.358
Free energy / atom (eV) -5.536

Lattice Parameters (basic)

a, b, c (Å): 5.385 5.385 30.000
α, β, γ (°): 90.000 90.000 120.000

Lattice Parameters (computed)

a, b, c (Å): 5.401 5.401 30.000
α, β, γ (°): 90.000 90.000 120.000
O6Sb2Tl2
Property Value
Band gap 2.74 eV
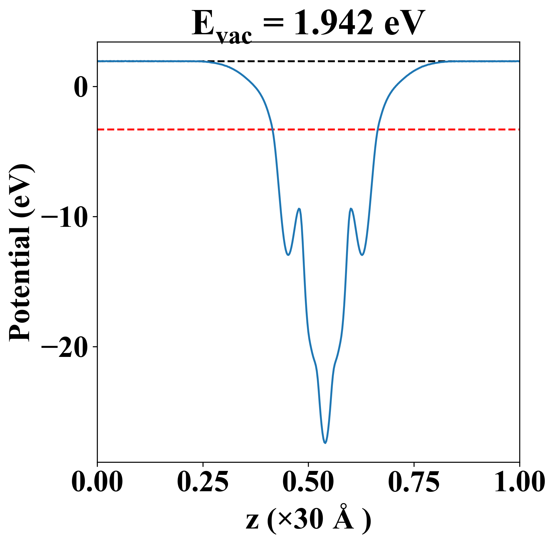
E-fermi -3.310 eV
Vacuum level 1.942 eV
VBM -3.568 eV
CBM -0.830 eV
Work function 5.252 eV
Direct gap No
O6Sb2Tl2



O6Sb2Tl2
Property Value
Band gap 2.71 eV
E-fermi -3.338 eV
VBM -3.607 eV
CBM -0.901 eV
Free energy (eV) -55.804
Free energy / atom (eV) -5.580
O6Sb2Tl2
Property Value
Band gap 2.74 eV
E-fermi -3.310 eV
Vacuum level 1.942 eV
VBM -3.568 eV
CBM -0.830 eV
Work function 5.252 eV
Cij (N/m) xx yy xy
xx 93.482 38.523 -0.000
yy 38.523 93.482 0.000
xy -0.000 0.000 27.479
Phonon mode at Γ point (THz)
-0.011
-0.006
-0.005
1.325
1.325
2.046
2.046
2.375
3.187
4.304
5.467
5.467
7.345
7.713
8.420
8.420
8.816
8.816
14.123
14.123
14.201
14.201
15.316
15.316
16.916
18.193
18.193
18.202
18.491
18.616
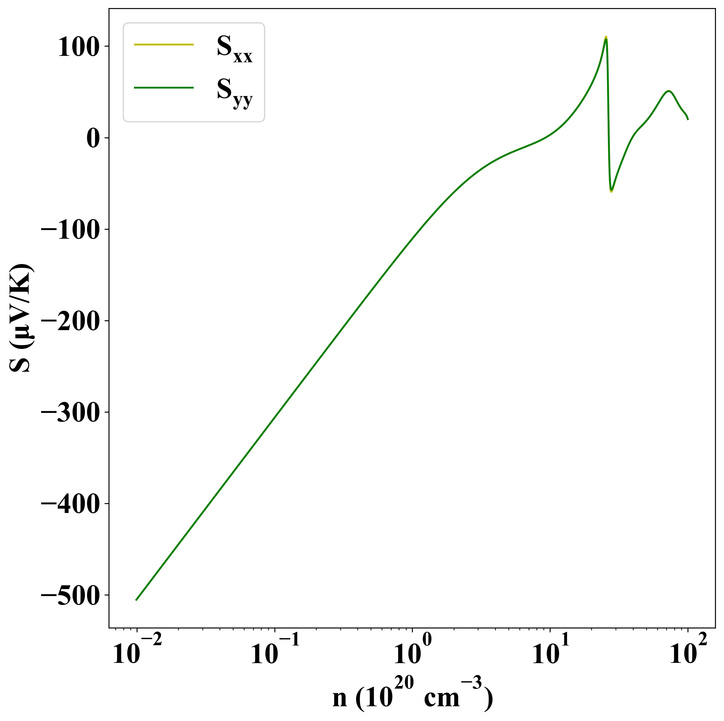
Seebeck
p-type
n-type



Sigma
p-type
n-type
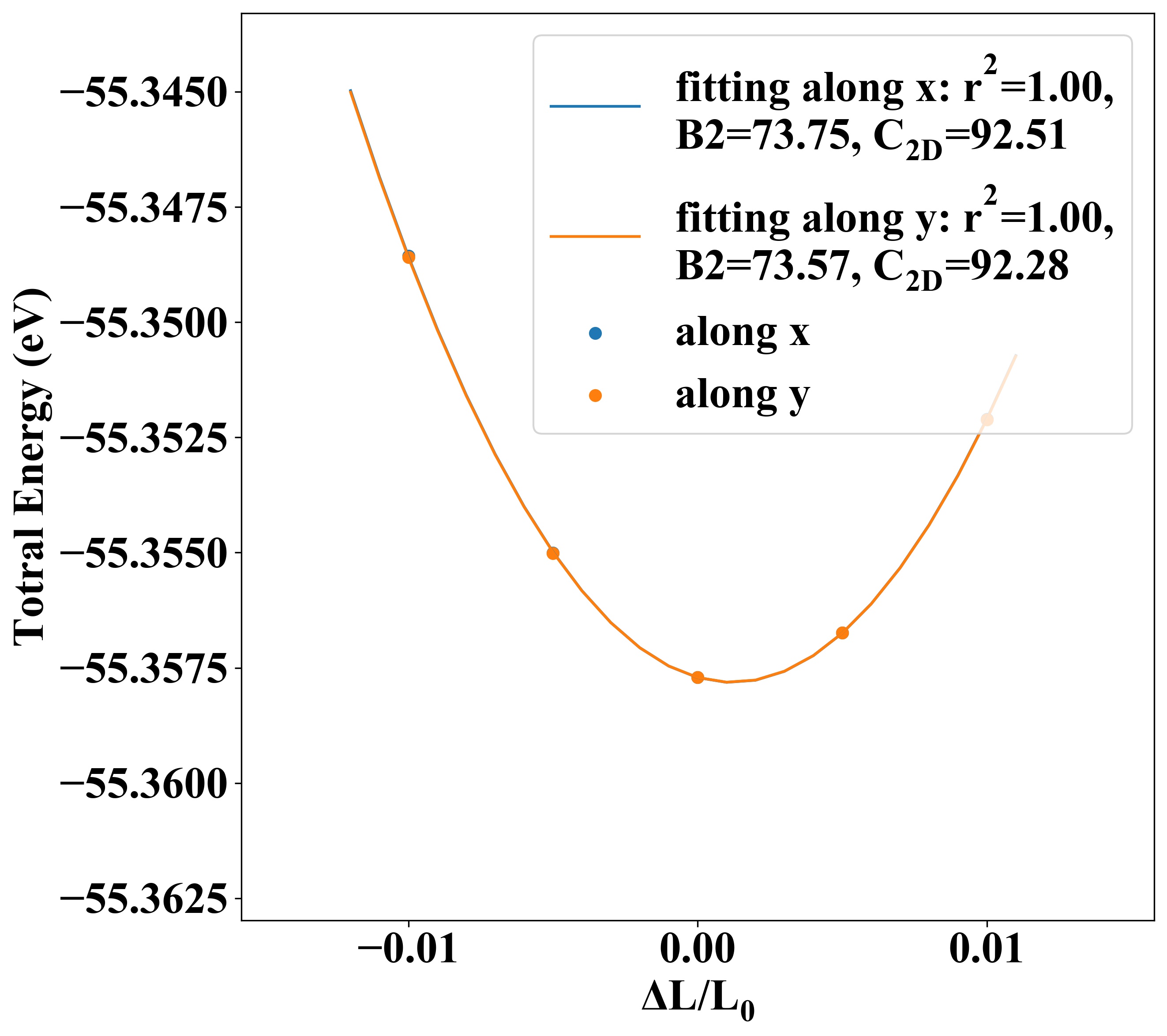
Carrier type C2D (N/m) Edef (eV) μ (cm2V-1s-1)
x y x y x y
hole 92.51 92.28 1.14 1.26 -276.48 -226.17
electron -6.49 -6.31 173.57 183.22
Property Value
from where JVASP-6304