O3Te1
MatHub2d-936-O3Te1
| Property |
Value |
| Space group |
(187, 'P-6m2') |
| Crystal system |
hexagonal |
| Magnetic |
No |
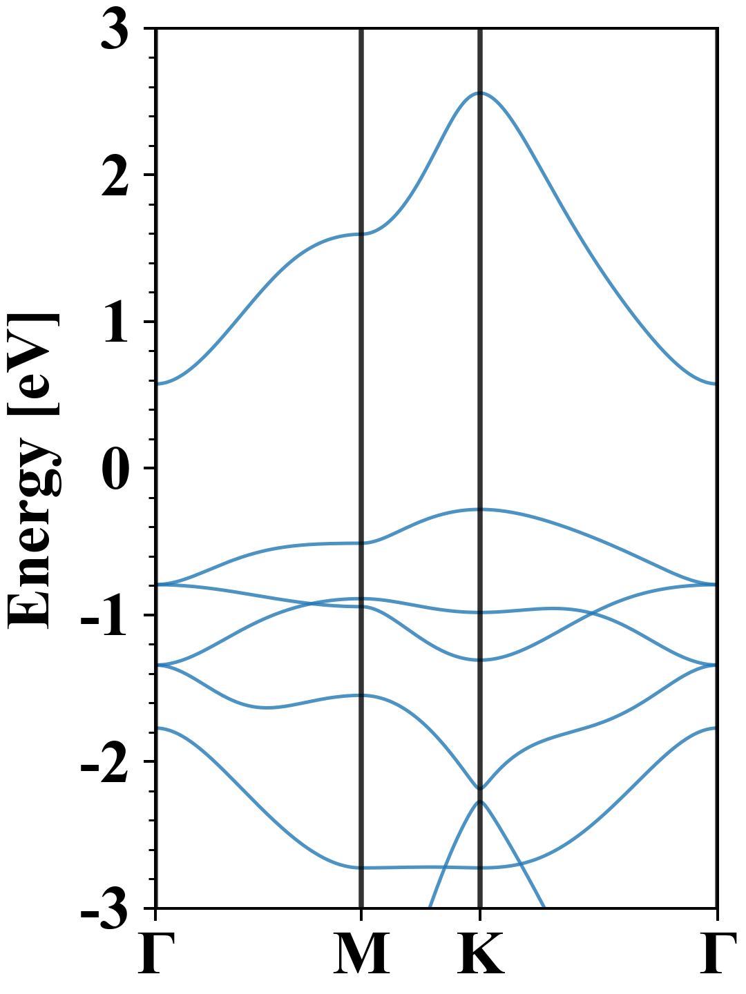
| Band gap (PBE) (eV) |
0.85 |
| Free energy (eV) |
-18.469 |
| Free energy / atom (eV) |
-4.617 |
Lattice Parameters (basic)
| a, b, c (Å): | 3.758 | 3.758 | 30.000 |
| α, β, γ (°): | 90.000 | 90.000 | 120.000 |
Lattice Parameters (computed)
| a, b, c (Å): | 3.769 | 3.769 | 30.000 |
| α, β, γ (°): | 90.000 | 90.000 | 120.000 |
| Property |
Value |
| Band gap |
0.85 eV |
| E-fermi |
-6.854 eV |
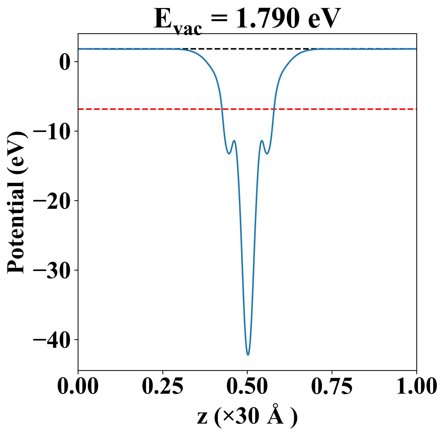
| Vacuum level |
1.790 eV |
| VBM |
-7.135 eV |
| CBM |
-6.280 eV |
| Work function |
8.644 eV |
| Direct gap |
No |
| Property |
Value |
| Band gap |
0.85 eV |
| E-fermi |
-6.848 eV |
| VBM |
-7.130 eV |
| CBM |
-6.282 eV |
| Free energy (eV) |
-18.541 |
| Free energy / atom (eV) |
-4.635 |
| Property |
Value |
| Band gap |
0.85 eV |
| E-fermi |
-6.854 eV |
| Vacuum level |
1.790 eV |
| VBM |
-7.135 eV |
| CBM |
-6.280 eV |
| Work function |
8.644 eV |
| Cij (N/m) |
xx |
yy |
xy |
| xx |
41.620 |
66.386 |
-0.000 |
| yy |
66.386 |
41.620 |
0.000 |
| xy |
-0.000 |
0.000 |
-12.383 |
| Phonon mode at Γ point (THz) |
| -0.023 |
| -0.021 |
| -0.021 |
| 3.497 |
| 3.497 |
| 5.125 |
| 5.125 |
| 7.063 |
| 9.388 |
| 9.388 |
| 23.794 |
| 26.609 |
| Property |
Value |
| from where |
JVASP-14458 |