O2Zr2
MatHub2d-935-O2Zr2
| Property |
Value |
| Space group |
(187, 'P-6m2') |
| Crystal system |
hexagonal |
| Magnetic |
|
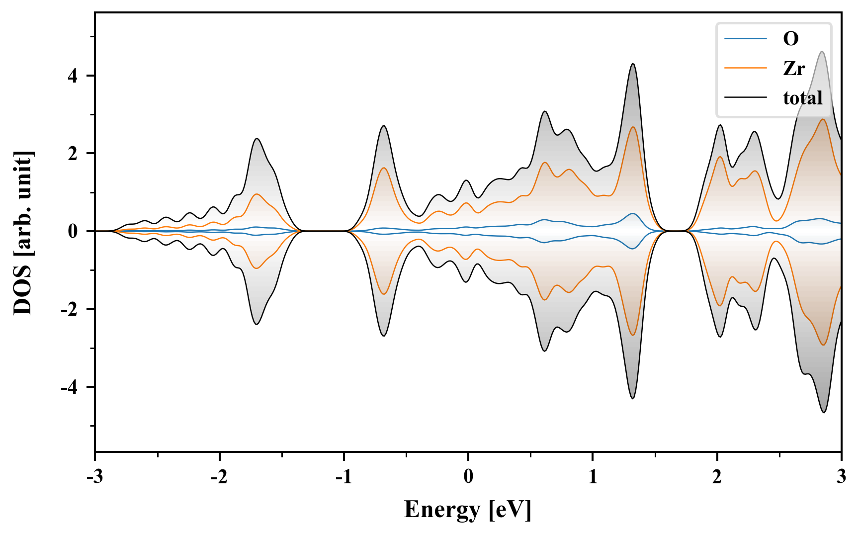
| Band gap (PBE) (eV) |
0.00 |
| Free energy (eV) |
-35.669 |
| Free energy / atom (eV) |
-8.917 |
Lattice Parameters (basic)
| a, b, c (Å): | 3.391 | 3.391 | 30.000 |
| α, β, γ (°): | 90.000 | 90.000 | 120.000 |
Lattice Parameters (computed)
| a, b, c (Å): | 3.402 | 3.402 | 30.000 |
| α, β, γ (°): | 90.000 | 90.000 | 120.000 |
| Property |
Value |
| Band gap |
0.00 eV |
| E-fermi |
-0.832 eV |
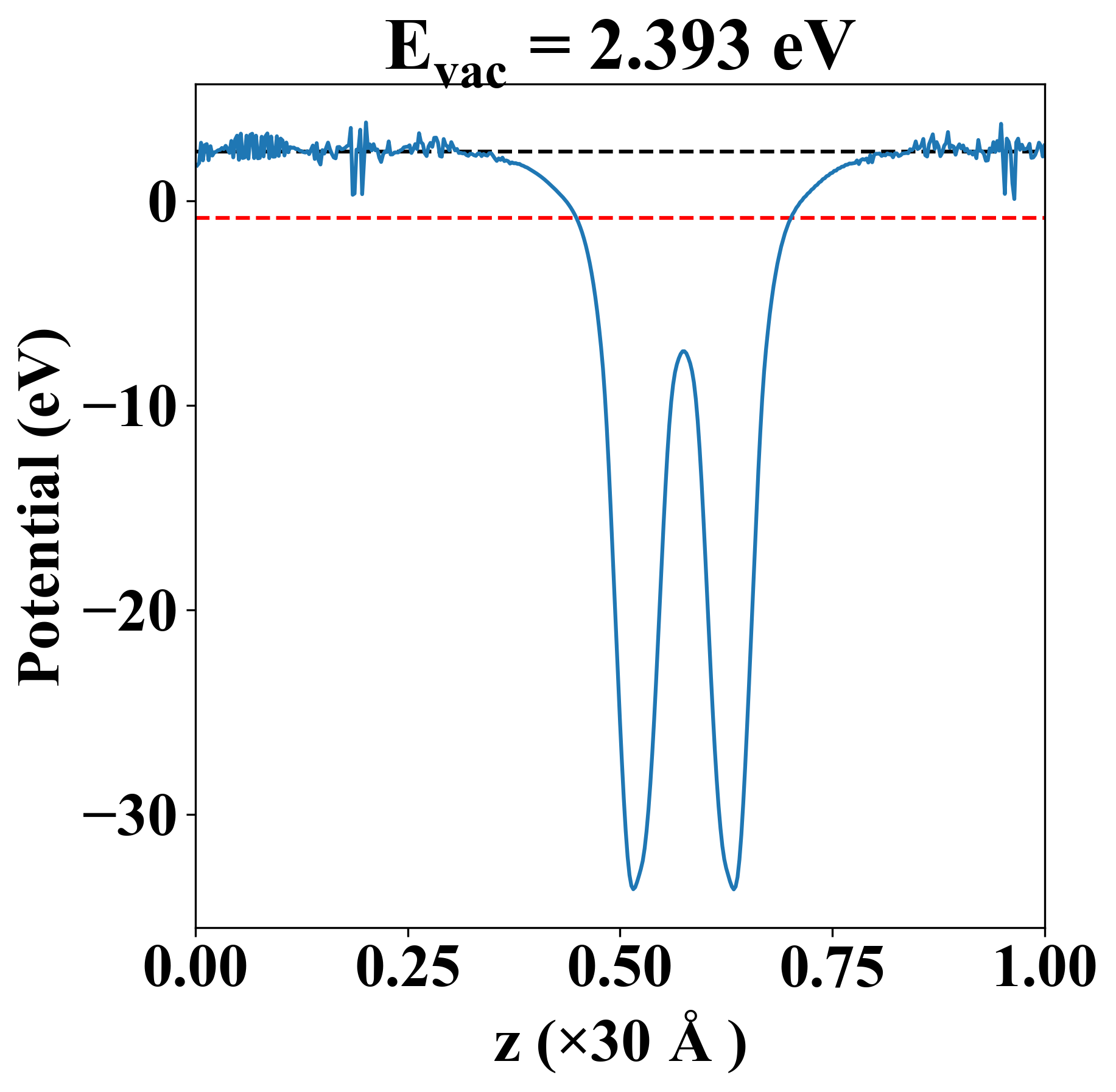
| Vacuum level |
2.393 eV |
| VBM |
-0.833 eV |
| CBM |
-0.832 eV |
| Work function |
3.226 eV |
| Direct gap |
Yes |
| Property |
Value |
| Band gap |
0.00 eV |
| E-fermi |
-0.832 eV |
| Vacuum level |
2.393 eV |
| VBM |
-0.833 eV |
| CBM |
-0.832 eV |
| Work function |
3.226 eV |
| Cij (N/m) |
xx |
yy |
xy |
| xx |
136.057 |
58.838 |
-0.000 |
| yy |
58.838 |
136.057 |
0.000 |
| xy |
-0.000 |
0.000 |
38.610 |
| Phonon mode at Γ point (THz) |
| -1.616 |
| -1.616 |
| -0.004 |
| -0.004 |
| -0.004 |
| 5.007 |
| 11.742 |
| 11.742 |
| 11.953 |
| 11.953 |
| 12.131 |
| 12.340 |
| Property |
Value |
| from where |
c2db-1718 |