O2Zr1
MatHub2d-934-O2Zr1
| Property |
Value |
| Space group |
(187, 'P-6m2') |
| Crystal system |
hexagonal |
| Magnetic |
No |
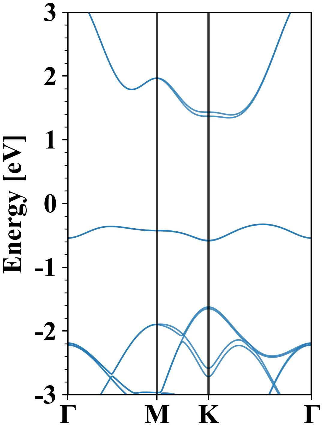
| Band gap (PBE) (eV) |
1.70 |
| Free energy (eV) |
-26.488 |
| Free energy / atom (eV) |
-8.829 |
Lattice Parameters (basic)
| a, b, c (Å): | 3.137 | 3.137 | 30.000 |
| α, β, γ (°): | 90.000 | 90.000 | 120.000 |
Lattice Parameters (computed)
| a, b, c (Å): | 3.147 | 3.147 | 30.000 |
| α, β, γ (°): | 90.000 | 90.000 | 120.000 |
| Property |
Value |
| Band gap |
1.70 eV |
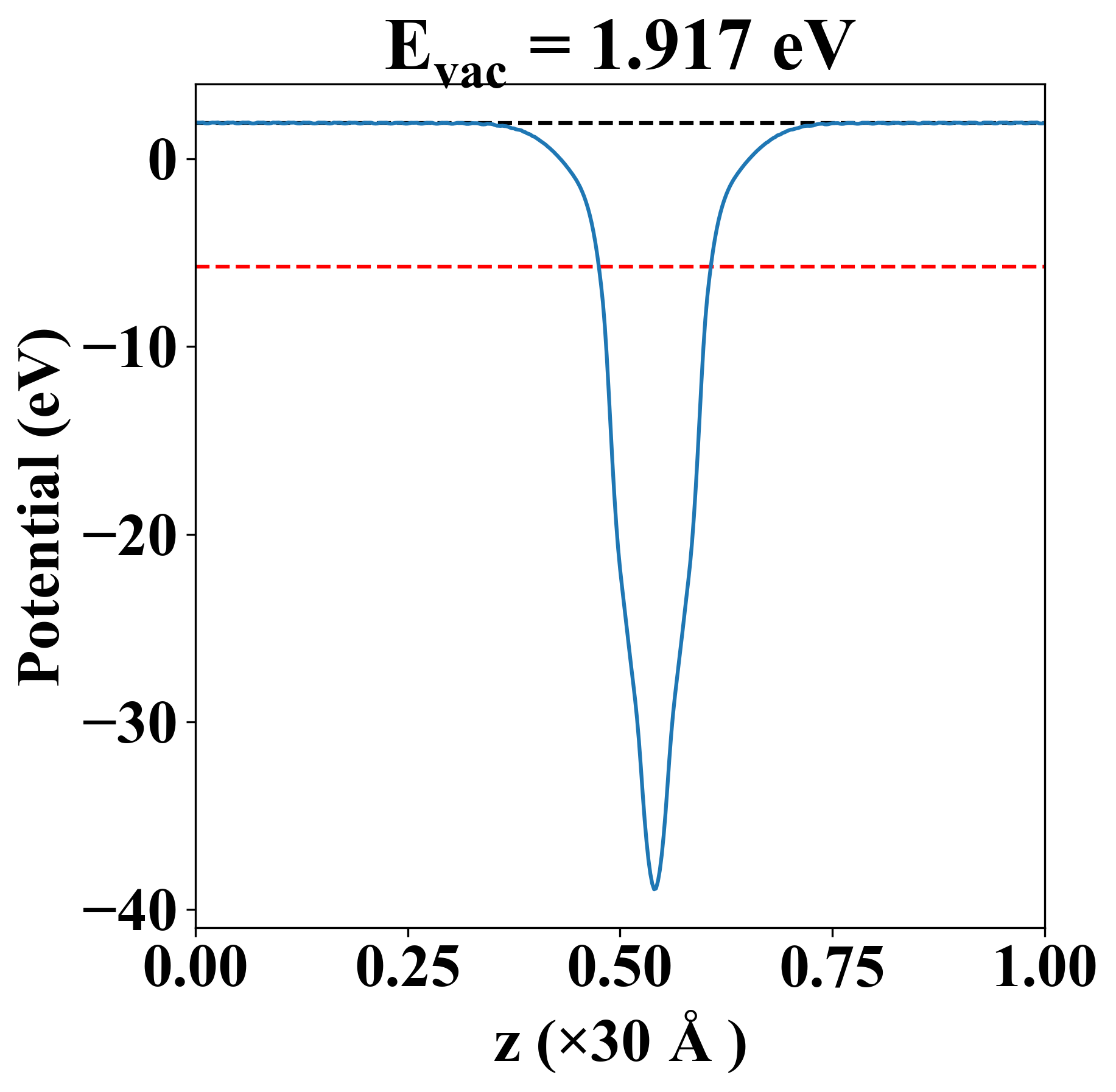
| E-fermi |
-5.742 eV |
| Vacuum level |
1.917 eV |
| VBM |
-6.127 eV |
| CBM |
-4.430 eV |
| Work function |
7.660 eV |
| Direct gap |
No |
| Property |
Value |
| Band gap |
1.67 eV |
| E-fermi |
-5.813 eV |
| VBM |
-6.139 eV |
| CBM |
-4.469 eV |
| Free energy (eV) |
-26.556 |
| Free energy / atom (eV) |
-8.852 |
| Property |
Value |
| Band gap |
1.70 eV |
| E-fermi |
-5.742 eV |
| Vacuum level |
1.917 eV |
| VBM |
-6.127 eV |
| CBM |
-4.430 eV |
| Work function |
7.660 eV |
| Cij (N/m) |
xx |
yy |
xy |
| xx |
155.978 |
77.021 |
-0.000 |
| yy |
77.021 |
155.978 |
-0.000 |
| xy |
-0.000 |
-0.000 |
39.478 |
| Phonon mode at Γ point (THz) |
| -6.943 |
| -6.943 |
| -0.008 |
| -0.008 |
| -0.006 |
| 10.771 |
| 10.771 |
| 16.500 |
| 19.997 |
| Property |
Value |
| from where |
c2db-668 |