O2Zr1
MatHub2d-933-O2Zr1
| Property |
Value |
| Space group |
(164, 'P-3m1') |
| Crystal system |
hexagonal |
| Magnetic |
No |
| Band gap (PBE) (eV) |
4.40 |
| Free energy (eV) |
-28.113 |
| Free energy / atom (eV) |
-9.371 |
Lattice Parameters (basic)
| a, b, c (Å): | 3.269 | 3.269 | 30.000 |
| α, β, γ (°): | 90.000 | 90.000 | 120.000 |
Lattice Parameters (computed)
| a, b, c (Å): | 3.280 | 3.280 | 30.000 |
| α, β, γ (°): | 90.000 | 90.000 | 120.000 |
| Property |
Value |
| Band gap |
4.40 eV |
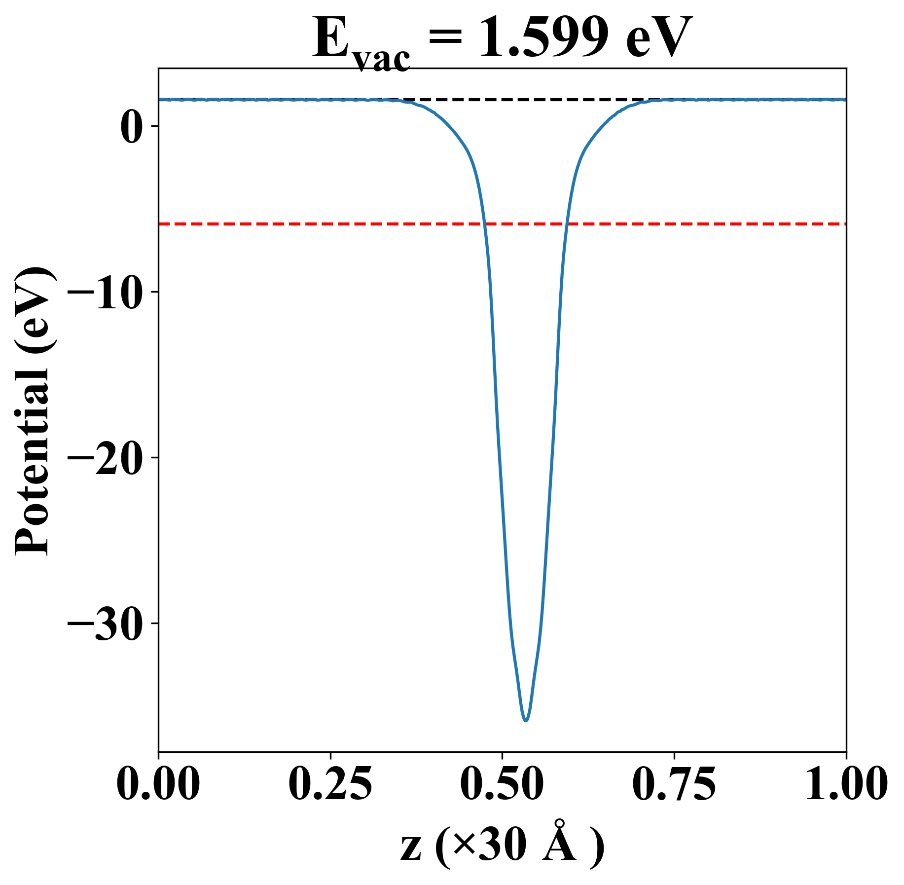
| E-fermi |
-5.914 eV |
| Vacuum level |
1.599 eV |
| VBM |
-6.138 eV |
| CBM |
-1.739 eV |
| Work function |
7.514 eV |
| Direct gap |
No |
| Property |
Value |
| Band gap |
4.40 eV |
| E-fermi |
-5.939 eV |
| VBM |
-6.154 eV |
| CBM |
-1.750 eV |
| Free energy (eV) |
-28.180 |
| Free energy / atom (eV) |
-9.393 |
| Property |
Value |
| Band gap |
4.40 eV |
| E-fermi |
-5.914 eV |
| Vacuum level |
1.599 eV |
| VBM |
-6.138 eV |
| CBM |
-1.739 eV |
| Work function |
7.514 eV |
| Cij (N/m) |
xx |
yy |
xy |
| xx |
158.562 |
38.306 |
-0.000 |
| yy |
38.306 |
158.562 |
-0.000 |
| xy |
-0.000 |
-0.000 |
60.128 |
| Phonon mode at Γ point (THz) |
| -0.012 |
| -0.012 |
| -0.002 |
| 7.739 |
| 7.739 |
| 14.548 |
| 14.548 |
| 15.727 |
| 16.099 |
| Property |
Value |
| from where |
c2db-667 |