O2W2
MatHub2d-932-O2W2
| Property |
Value |
| Space group |
(187, 'P-6m2') |
| Crystal system |
hexagonal |
| Magnetic |
No |
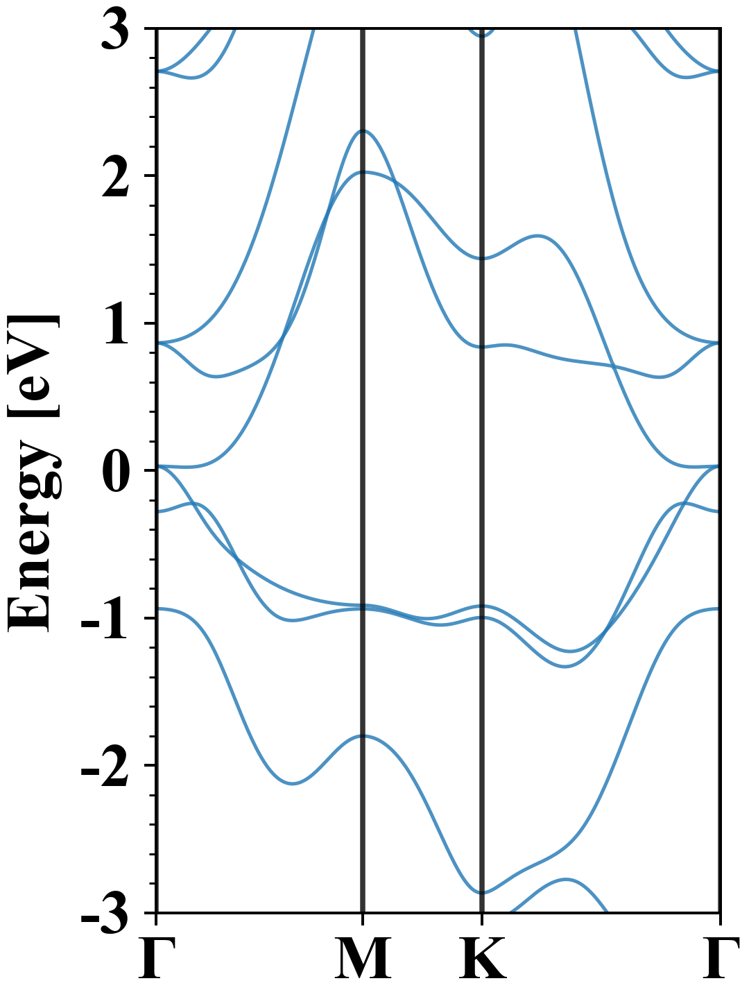
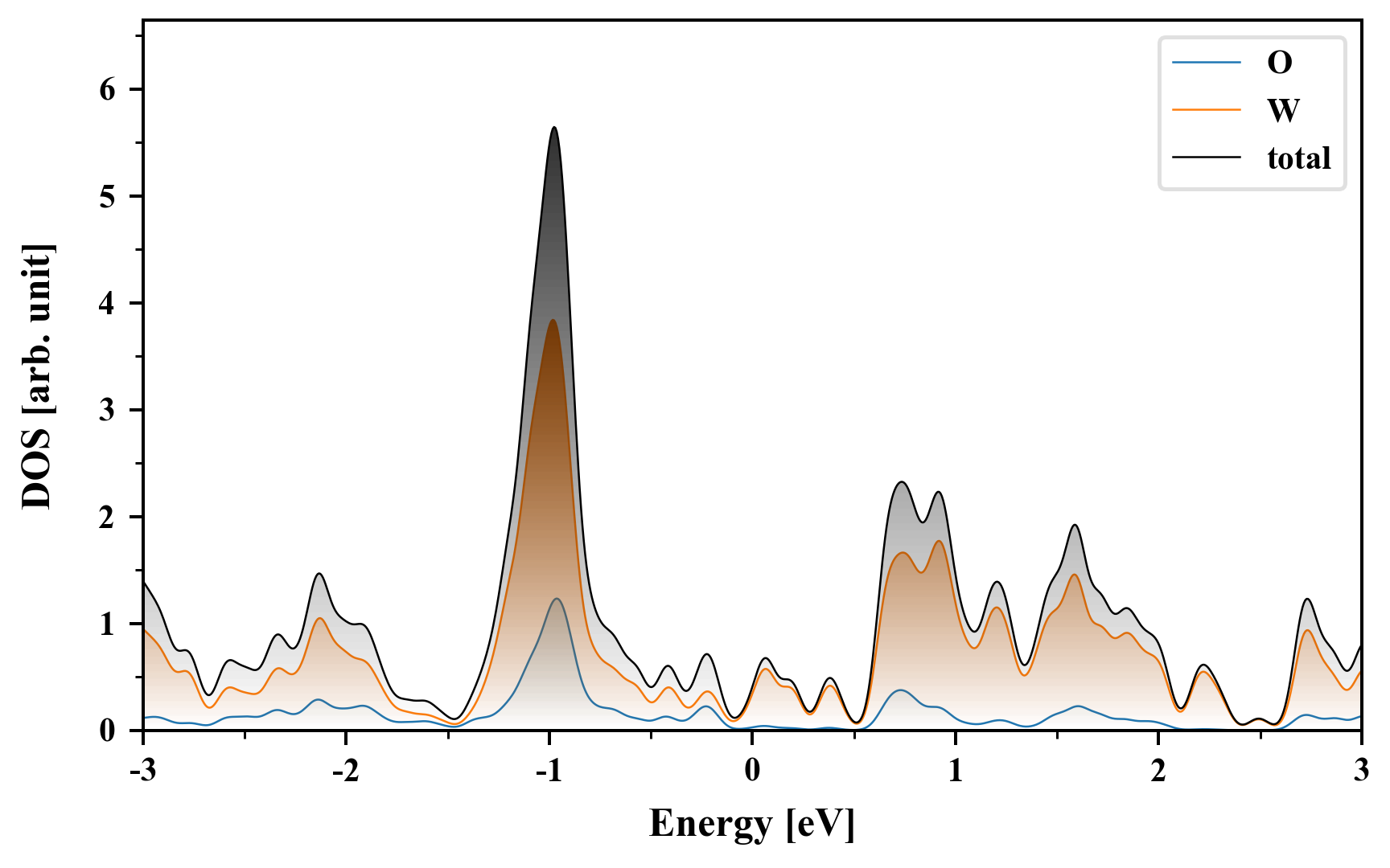
| Band gap (PBE) (eV) |
0.00 |
| Free energy (eV) |
-34.472 |
| Free energy / atom (eV) |
-8.618 |
Lattice Parameters (basic)
| a, b, c (Å): | 2.906 | 2.906 | 30.000 |
| α, β, γ (°): | 90.000 | 90.000 | 120.000 |
Lattice Parameters (computed)
| a, b, c (Å): | 2.900 | 2.900 | 30.000 |
| α, β, γ (°): | 90.000 | 90.000 | 120.000 |
| Property |
Value |
| Band gap |
0.00 eV |
| E-fermi |
-3.674 eV |
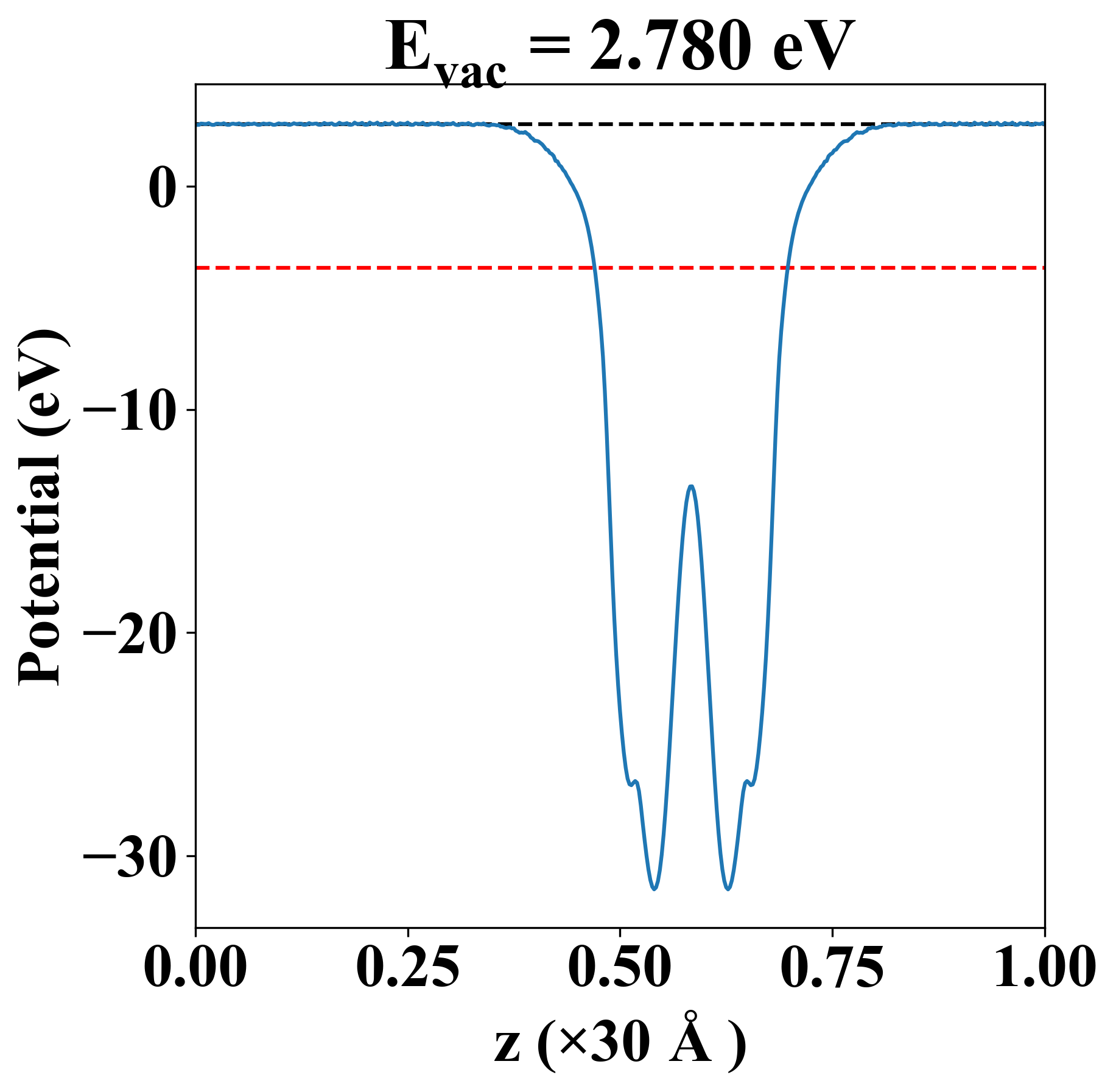
| Vacuum level |
2.780 eV |
| VBM |
-3.676 eV |
| CBM |
-3.668 eV |
| Work function |
6.454 eV |
| Direct gap |
No |
| Property |
Value |
| Band gap |
0.00 eV |
| E-fermi |
-3.674 eV |
| Vacuum level |
2.780 eV |
| VBM |
-3.676 eV |
| CBM |
-3.668 eV |
| Work function |
6.454 eV |
| Cij (N/m) |
xx |
yy |
xy |
| xx |
133.313 |
144.779 |
0.000 |
| yy |
144.779 |
133.313 |
-0.000 |
| xy |
0.000 |
-0.000 |
-5.733 |
| Phonon mode at Γ point (THz) |
| -3.201 |
| -3.201 |
| -0.004 |
| -0.004 |
| -0.003 |
| 5.680 |
| 11.514 |
| 11.514 |
| 12.470 |
| 12.470 |
| 17.562 |
| 18.045 |
| Property |
Value |
| from where |
c2db-1714 |